电液位置控制系统
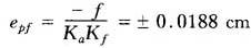
设有一数控机床工作台的位置需要连接控制,其技术要求 指令速度信号输入时引起的速度误差为 ev=5mm 干扰为位置输入时引起的位置误差 epf=±0.2mm 给定设计参数为 工作台质量 m=1000kg 最大加速度 amax=1m/s2 最大行程 S=50cm 最大速度 v=8Cm/s 工作台最大摩擦力 Ff=2000N 最大切削力 Fc=500N 供油压力 ps=6.3MPa 反馈传感器增益 Kf=1V/cm 确定系统的主要参数。 (1)确定系统方案 采用图34.4-1的伺服阀控制液压缸的系统结构。 (2)确定工作台速度和负载力的关系 负载力由切削力Fc摩擦力Ff和惯性力Fa等组成。惯性力Fa按最大加速度考虑 Fa=mamax=1000N 系统在最恶劣的负载条件下工作时的总负载力F=3500N。工作台速度和负载力的关系曲线如图34.4-2所示。 (3)确定液压缸有效工作面积A和结构尺寸D,d令负载压力 ,因为F=ApL,所以 (A)电液伺服阀的传递函数 额定流量8L/min的伺服阀在供油压力ps=6.3MPa时的空载流量为7.6L/min,阀的增益为 从图中可见,系统频宽f-3dB时,稳定裕量为5dB和90°。 (7)计算系统稳态误差 ·指令输入最大速度v=8cm/s时的误差为  ·干扰输入引起的误差:干扰有伺服放大器温度零飘、伺服阀的零飘和磁滞及执行元件的不良灵敏度等,将其总和折合成伺服阀输入电流的干扰为f=±0.02IR,对这个干扰来说,系统属于O型,当其在一段时间内为常量时,系统的位置误差为  可见,系统达到了原定设计指标。 |