盐酸伐哌前列素
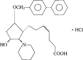
C30H39NO4·HCl=514.10 CAS-87248-13-3; CAS-85505-64-2(vapiprost) 7-[5-[(1,1′-联苯)-4-基甲氧]-3-羟-2-(1-哌啶基)环 戊基]-4-庚烯酸,盐酸盐,[1R-[1α(z),2β 3β 5α]]-。 4-Heptenoic acid,7-[5-[(1,1′-biphenyl)-4-ylmethoxy]-3-hydroxy-2-(1-piperidinyl)cyclopentyl]-,hydrochloride,[1R-[1α(Z),2β 3β 5α]]-. (±)-(4Z)-7-[(1R,2R,3S,5S)-5-(4-联苯甲氧)-3-羟-2-哌啶环戊基]-4-庚烯酸,盐酸盐。 (±)-(4Z)-7-[(1R,2R,3S,5S)-5-(4-Biphenylmethoxy)-3-hydroxy-2-piperidinocyclopentyl]-4-heptenoci acid,hydrochloride. 前列腺素类药。 Vapiprost Hydrochloride,GR 32191B,GR 32191(vapiprost). INN & BAN(Vapiprost),USAN.  |