盐酸司他霉素
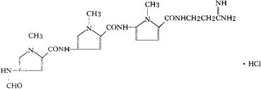
C22H27N9O4·HCl=4517.97 CAS-6576-51-8 N″-(2-脒乙基)-4-甲酰胺基-1,1′,1″-三甲基-N,4′∶N′,4″-三重[吡咯-2-羧酰胺]单盐酸盐。 N″-(2-Amidinoethyl)-4-formamido-1,1′,1″-trimethyl-N,4′∶N′,4″-ter[pyrrole-2-carboxamide]monohydrochloride. 抗生素类药。 Stallimycin Hydrochloride,Herperal. INN,USAN,MI.  |