盐酸吖啶黄[部]
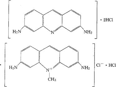
CAS-8063-24-9 3,6-二氨基-10-甲基吖啶盐酸氯化物与。 3,6-二氨基吖啶二盐酸盐的混合物。 Mixture of the hydrochlorides 3,6-diamino-10-methyl acridinium chloride and 3,6-diaminoacridine. 消毒防腐药。用于皮肤、创口、鼻、喉、黏膜消毒。 吖啶黄。 Acriflavini Hydrochloride,Acriflavinum Chloride, Trypaflavine. INN,DCF,DCIT,GDP,NF,PH,USAN,USSRP,MI.  |