盐酸吗啡[典]
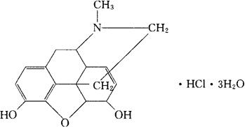
C17H19NO3·HCl·3H2O=375.85 CAS-52-26-6 7,8-二去氢-4,5α-环氧-17-甲基吗啡喃-3,6-二醇,盐酸盐(1∶1)三水化合物。 7,8-Didehydro-4,5α-epoxy-17-methylmorphinan-3,6α-diol hydrochloride(1∶1)(salt)trihydrate. 镇痛药。用于剧烈疼痛及麻醉时的辅助用药。 Morphine Hydrochloride,Morphinae Hydrochloridum(台)。 盐酸吗啡片,盐酸吗啡注射液。 BP,EP,JP,USAN,USP,MI.  |