盐酸布那唑嗪[中]
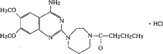
C19H28ClN5O3=409.91 CAS-52712-76-2 4-氨基-2-(4-丁酰基六氢-1H-1,4-二氮杂 -1-基)-6,7-二甲氧基-喹唑啉盐酸盐。 4-Amino-2-(4-butyrylhexahydro-1H-1,4-diazepine1-yl)-6,7-dimethoxy-quinazolin hydrochloride. α1-受体阻滞药。用于治疗原发性高血压、肾性高血压、嗜铬细胞瘤引起的高血压。 盐酸布纳唑嗪。 Bunazosin Hydrochloride. INN,USAN(Bunazosin).  |