网站首页  词典首页

请输入您要查询的字词:

 

字词 相思子
类别 中英文字词句释义及详细解析
释义 相思子

【概况】:

异名 红豆、相思豆(《中药志》),红漆豆(《现代实用中药》),鸳鸯豆(《中药材手册》)。

基源 为豆科相思子属植物相思子干燥成熟的种子。

原植物 相思子Abrus precatorius L.,又名相思藤(《中国高等植物图鉴》),鸡母珠(《中国主要植物图说·豆科》),山甘草、土甘草(广西)。

历史 《纲目》始载:“相思子圆而红,……生岭南,树高丈余,白色。其叶似槐,其花似皂荚。

其荚似扁豆,其子大如小豆,半截红色,半截黑色,……有小毒吐人。”据上所述,即当今之相思子。

形态 缠绕亚灌木。茎细长,嫩枝绿色,老时灰绿色,有皮孔。

植株被贴伏糙毛。偶数羽状复叶互生,小叶8~20对,近长方圆形至倒卵形,长0.5~2cm,宽0.25~0.8cm,先端钝圆,具小刺尖,基部近楔形,全缘,具短柄,上面无毛,下面被贴伏糙毛。总状花序腋生,花序轴约3~6cm;花8~12密集于花序轴顶端;花萼钟状,萼齿4;花冠浅红紫色或红色,旗瓣宽卵形,爪近三角形,翼瓣及龙骨瓣均较窄;单体雄蕊9,子上位,狭长圆形,被毛,胚珠2~6,花柱无毛,柱头具细乳突。荚果近长扁菱形,长2.5~3cm,宽1~15cm,先端具喙,果瓣革质,成熟时红褐色,外面密被白色贴伏糙毛,开裂;种子2~6,椭圆形,长约0.5cm,上部红色,基部近种脐以下黑色,有光泽。

花期3~6月,果期7~11月。(图见《福建植物志》.第3卷.100页.图72)

生境与分布 生于海拔1100m的丘陵、山间或路旁以及近海岸的疏林或灌丛。分布于福建、台湾、广东、广西、云南。泰国、越南、菲律宾、印度亦有。

。【生药】:

采集 夏、秋季分批采摘成熟果荚,晒干,打出种子,除净杂质,再晒干。

药材主产于广东、海南、广西。

鉴别

性状 种子长椭圆形而略扁,少数近球形,长5~7mm,直径3.4~4.5mm;表面具光泽,一端(约2/3)朱红色,另端黑色,种脐凹陷,椭圆形类白色,位于黑色处的侧面,有时残存短小种柄;质坚硬。

浸泡后剥去种皮,可见黄白色子叶2枚,肥厚,胚根明显。具青草气,味微苦涩。

以种子饱满、色泽鲜红、体干、无泥沙者为佳。

显微 种子横切面:种子表皮为1列外被角质层的栅状细胞,排列紧密,长190~260μm,宽7~20μm,壁厚,非木化,具纵条纹,胞腔内侧明显,向外渐成条缝状,其下为1列径向延长的支持细胞,长130~160μm,宽5~12μm,两端略膨大,边缘不规则缢缩,有类圆形、长圆形或不规则长形的细胞间隙。外胚乳为10数列切向排列的薄壁细胞,内胚乳为1列类方形细胞,含糊粉粒。子叶细胞类多角形,最外1列排列整齐,类方形至长方形,壁较厚,内含大量糊粉粒。(图见《中药志》.第3册.第2版.472页.图300)

理化 取样品粉末5g,加乙醇15ml,回流半小时,滤过,滤液浓缩至5ml,点于硅板G薄层板上,以相思子碱为对照,以正丁醇-醋酸-水(4∶1∶5)上层液为展开剂,展距10cm,喷对二甲氧基苯甲醛试剂,显2个橙红色斑点。(图见《中药志》.第3册.第2版.473页.图301)

贮藏 置通风干燥处,防蛀。。【化学】:

种子含相思子凝集素(Abrus agglutinin)、相思子毒蛋白(Abrin)A及B等植物凝血素(Lectin)[1]

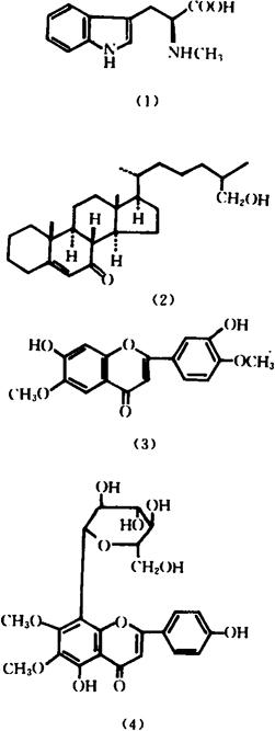
相思子碱(Abrine)(1)、红豆碱(Precatorine)、海巴沸林(Hypaphorine)、海巴沸林甲酯(Methylester of N,Ndimethyltryptophan methocation)、胡卢巴碱(Tri gonelline)、胆碱(Choline)等生物碱[2]。此外尚含β-谷甾醇(β-Sitosterol)、豆甾醇(Stigmasterol)、菜油甾醇(Campesterol)、胆甾烯醇(Cholesterol)、环木波罗烯醇(Cycloartenol)、相思子生(Abricin)(2)、相思子定(Abridin)、β-香树脂素(β-Amyrin)、鲨烯(Squalene)[3]和5β-胆烷酸(5β-Cholanic acid[2]等甾体和三萜化合物。去甲氧基矢车菊黄素-7-()-芸香糖甙(Desmethoxycentaureidin-7-O-rutinoside)、相思克托素(Abrectorin)(3)[4]、相思子新(Abrusin)(4)和它的2″-芹菜糖甙(2″-Apioside)[5]等黄酮化合物,种皮含6种花色素[1],现证明有木葡萄糖基翠雀素(Xyloglucosyldelphinidin)和(对-香豆酰棓酰基)葡萄糖基翠雀素〔(p-Coumarylgalloyl)glucosyldelphinidin〕[6]。另外相思子含丙氨酸、苯丙氨酸、谷氨酸、胱氨酸等多种氨基酸、没食子酸、多糖类化合物[1]、7,9,15-三甲基二十一烷(7,9,15-Trimethylheneicosane)和二十五烷酸(Pentacosanoic acid)[7]。相思子所含碳水化合物可达19.92%[8]

参考文献 [1] 中药志.Ⅲ.人民卫生出版社,1984∶469 [2] 中草药学.中册.江苏人民出版社,1976∶450 [3] CA 1980;92∶194420e [4] CA 1981;94∶80199a [5] CA 1989;110∶228586w [6] CA 1982;97∶161686t [7] CA 1988;108∶19197q [8] CA 1986;104∶165393j。

【药理】:

抗肿瘤 相思子毒蛋白1.25μg/kg ip于小鼠,连用5d,对腹腔接种1×10-7浓度的肉瘤180细胞有显著的抑制作用;每鼠用0.2μg的单一致死量以下的剂量,对腹腔接种1×10-7艾氏腹水瘤细胞,有抑制其发育的作用[1]

毒蛋白A在0.8μg/ml浓度下能凝集人的O型红细胞,而毒蛋白B无此活性。毒蛋白A5μg′ml浓度下能凝集肉瘤180和艾氏腹水癌细胞。毒蛋白B的凝集浓度为150μg/ml[2]

毒性 相思子毒蛋白为细胞毒,引起中毒症状为:体温先升高后降低,出现蛋白尿,有时抽搐;尸解见到红细胞聚集、溶血、组织细胞破坏、浆膜点状出血、淋巴结肿大、脾脏肿大及颜色加深等。

此毒蛋白对马的毒性很大,po15g以上即中毒,如自小量开始,逐渐增加剂量,可获得免疫;对犬、鹅、小牛之毒性则很小[3]。相思子蛋白sc对猫的MLD为0.4mg/kg,对大鼠、兔、豚鼠为0.04mg/kg[4]。另有报告,相思子毒蛋白的结晶对小鼠的LD50是0.02mg/kg[1]

参考文献 [1] 福建医科大学学报 1977;(2)∶119 [2] CA 1979;90∶145711a [3] 中药大辞典.下册.上海人民出版社,1977∶1503 [4] CA 1962;56∶10869a。【药性】:

性味 辛、苦,平。

有毒。 ❶ 《纲目》:“苦,平。有小毒。”
❷ 《本草拾遗》:“辛。有小毒。”
❸ 《陆川本草》:“辛、甘。有小毒。”

功效 涌吐,杀虫。

主治 疥癣,痈疮,湿疹。

❶ 《本草拾遗》:“通九窍,治心腹气。止热闷头痛,风痰。杀腹脏及皮肤内一切虫。


❷ 《现代实用中药》:“治皮肤病疥疮,顽癣等,为浸剂或糊剂。”

用法用量 外用:捣烂涂敷患处。

使用注意 不宜内服,以防中毒。。【临床应用】:

单方应用 ❶ 《纲目》:“治瘴疟寒热:相思子14枚,水研服,取吐立瘥。”
❷ 《现代实用中药》:“除虫疥:相思子捣烂如泥,涂敷患处。”
❸ 《现代实用中药》:“治热闷头痛,风痰瘴疟,杀腹中及皮肤内一切虫:相思子27枚,研服,即当吐出。”
❹ 《实用中药手册》:“治疥癣,痈肿:相思子研粉,醋调涂患处。”
❺ 《云南中医杂志》:“治流行性腮腺炎:相思子10g,研粉。与1个鸡蛋清搅匀成糊状,摊于纱布上,外敷患处。”
❻ 《维吾尔药志》:“治精神不振、思绪烦躁,气虚阳痿:相思子1~4g。水煎服。”

随便看

 

文网收录3541549条中英文词条,其功能与新华字典、现代汉语词典、牛津高阶英汉词典等各类中英文词典类似,基本涵盖了全部常用中英文字词句的读音、释义及用法,是语言学习和写作的有利工具。

 

Copyright © 2004-2024 Ctoth.com All Rights Reserved
京ICP备2021023879号 更新时间:2025/10/16 17:49:09