网站首页  词典首页

请输入您要查询的字词:

 

字词 硫脲
类别 中英文字词句释义及详细解析
释义 硫脲

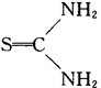
分子式CS(NH2),分子量7612,结构式:

白色而有光泽的菱形晶体,密度1.405g/cm3

熔点180℃,能溶于水或酒精中,但不溶于醚。室温时水溶液pH值7,100℃时pH值7~8。作消除亚硝酸气用剂,作应得元溶解剂,作缩聚翠蓝固色剂,制备硫尿——甲醛树脂整理剂等。

随便看

 

文网收录3541549条中英文词条,其功能与新华字典、现代汉语词典、牛津高阶英汉词典等各类中英文词典类似,基本涵盖了全部常用中英文字词句的读音、释义及用法,是语言学习和写作的有利工具。

 

Copyright © 2004-2024 Ctoth.com All Rights Reserved
京ICP备2021023879号 更新时间:2026/4/17 16:20:03