硫酸妥布霉素
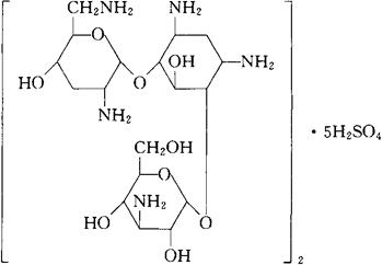
(C18H37N5O9)2·5H2SO4=1425.39 CAS-79645-27-5 O-3-氨基-3去氧-α-D-吡喃葡萄糖基(1→6)-O-[2,6-二氨基-2,3,6-三去氧-α-D-核-吡喃己糖基-(1→4)]-2-去氧-D-链霉胺硫酸盐(2∶5)。 DStreptamine,O-3-amino-3-deoxy-α-D-glucopyranosyl(1→6)-O-[2,6-diamino-2,3,6-trideoxy-α-Dribo-hexopyranosyl-(1→4)]-2-deoxy-sulfate(2∶5)(salt). ()-3-氨基-3-去氧-α-D-吡喃葡萄糖基-(1→4)-O-[2,6-二氨基-2,3,6-三去氧αD-核-吡喃己糖基-(1→6)]-2-去氧-L-链霉胺,硫酸盐(2∶5)。 O-3-Amino-3-deoxy-α-D-glucopyranosyl-(1→4)O[2,6-diamino-2,3,6-trideoxy α-D-ribo-hexopyranosyl-(1→6)]-2-deoxy-L-streptamine,sulfate(2∶5)(salt). 妥布霉素硫酸盐(2∶5)。 Tobamycin Sulfate(2∶5)(salt). 抗生素类药。 Tobramycin Sulfate Sterile,Nebcin. INN(Tobramycin),USAN,USP. 
|