网站首页  词典首页

请输入您要查询的字词:

 

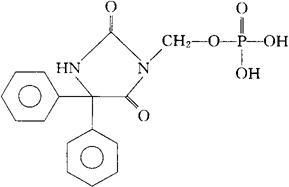
字词 磷苯妥英
类别 中英文字词句释义及详细解析
释义 磷苯妥英

C16H15N2O6P=362.28

CAS-93390-81-9

3-(羟甲基)-5,5-二苯基乙内酰脲,磷酸二氢酯。

3-(Hydroxymethyl)-5,5-diphenylhydantoin,dihydrogen phosphate(ester).

抗癫痫药。

Fosphenytoin.

INN,USAN.

随便看

 

文网收录3541549条中英文词条,其功能与新华字典、现代汉语词典、牛津高阶英汉词典等各类中英文词典类似,基本涵盖了全部常用中英文字词句的读音、释义及用法,是语言学习和写作的有利工具。

 

Copyright © 2004-2024 Ctoth.com All Rights Reserved
京ICP备2021023879号 更新时间:2025/10/16 13:22:40