网站首页  词典首页

请输入您要查询的字词:

 

字词 糖酐酯钠[中]
类别 中英文字词句释义及详细解析
释义 糖酐酯钠[中]

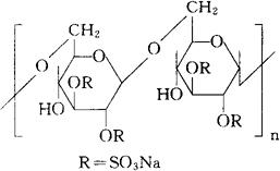
分子量约7300

CAS-9011-18-1

右旋糖酐硫酸酯钠盐。

Dextran sulfuric acid ester sodium salt.

降血脂和抗动脉粥样硬化药。用于防治动脉硬化症、急慢性肝炎等。

右旋糖酐硫酸酯钠,糖酐酯。

Dextran Sulfate Sodium,Dextratine,MDS.

糖酐酯钠片。

MI.

随便看

 

文网收录3541549条中英文词条,其功能与新华字典、现代汉语词典、牛津高阶英汉词典等各类中英文词典类似,基本涵盖了全部常用中英文字词句的读音、释义及用法,是语言学习和写作的有利工具。

 

Copyright © 2004-2024 Ctoth.com All Rights Reserved
京ICP备2021023879号 更新时间:2026/4/18 13:08:47