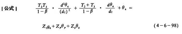
纸机烘缸的温度自动调节特性方程
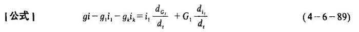
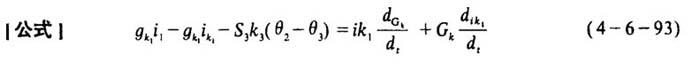
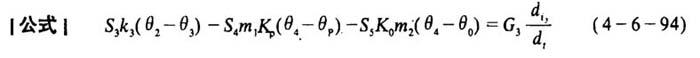
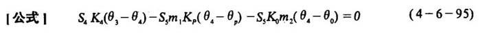
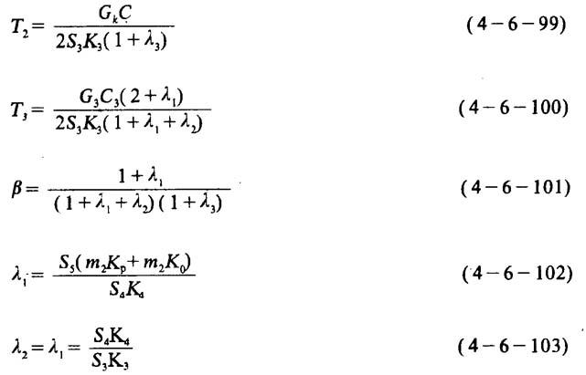
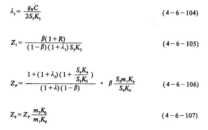
[说明]参见图4-6-11 1.蒸汽相的平衡方程式 ❶ 物料平衡方程式  式中 g、g1——烘缸进出口的蒸汽流量(kg/h) gk——单位时间内烘缸内形成的冷凝水量(kg/h) G1——烘缸内蒸汽量(kg) t——时间(h) ❷ 热平衡方程式  式中 i、i1——烘缸进口及烘缸内蒸汽热焓(kJ/kg)  ik——饱和线上冷凝水的热焓(kJ/kg) C——冷凝水的热容[kJ/(kg·℃)] θi——饱和蒸汽温度(℃) γ——蒸汽潜热(kJ/kg) 2.液相的平衡方程 ❶ 物料平衡方程式  式中 gki——经过虹吸管的冷凝水流量(kg/h) Gk——烘缸内冷凝水重量(kg) 其它同上 ❷ 热平衡方程式  式中 ik1——冷凝水的平均热焓(kJ/kg) θ2——液相和水垢分界面上的温度(℃) θ3——缸壁和水垢分界面上的温度(℃) S3k3(θ2-θ3)——穿过水垢层向缸壁的热流强度(kJ/h) S3——冷凝水的冷却表面积(m2) K3——穿过水垢层的传热系数[kJ/(m2·h·℃)] 3.缸壁的平衡方程式 ❶ 热平衡方程式  式中 S4、S5——冷却内外表面积(m2) m1、m2——由烘缸表面与纸页接触和与空气接触所决定的系数 Kp、K0——烘缸到纸页和烘缸到周围空气的传热系数[kJ/(m2·h·℃)] θp、θ0——纸页和周围空气的温度(℃) θ3、θ4——烘缸内外表面的温度(℃) G3——缸壁重量(kg) i3——缸壁热焓(kJ/kg) ❷ 缸壁和周围空气问的传热方程式  式中 K4——穿过缸壁的传热系数[kJ/(m2·h·℃)] 其它同上 4.冷凝水的平均热焓和缸壁的平均热焓  式中 i3——缸壁的平均热焓(kJ/kg) C——冷凝水的热容[kJ/(kg·℃)] C3——缸壁的热容(比热)[kJ/(kg·℃)] 其它同上 5.烘缸温度调节的特性方程 ❶ 特性方程式  式中各符号计算如下:   其它同上 [讨论]式4-6-98表明,烘缸是双容调节对象。 ❷ 无量纲式  其它符号含义及单位均同上 |