经典正态线性回归模型
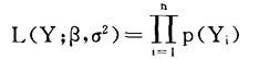
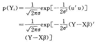
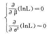
与[经典线性回归模型]相比,该模型增加了对随机扰动项的正态假定,即假定 ui~N(0,σ2) (1)正态假定的合理性:因为ui代表了大量没有引入回归模型的独立变量的联合影响,这些影响既是微小的,又是随机的,根据数理统计学的中心极限定理,可以假定为正态分布。 (2)正态假定的必要性:用普通[最小二乘法]对[经典线性回归模型]进行参数估计时,得到的是点估计量;要知道这些点估计量的可靠程度,必须求出其[置信区间],这就要求知道估计量的概率分布。对扰动项作正态假定后,β、Y及σ2等估计量的分布都可推导出来,从而为构造它们的置信区间铺平道路。 (谢方) 最大似然法(method of maximum likelihood) 设随机变量ξ具有密度函数f(x;θ1,θ2,…,θ1),此处x为ξ的观测值,θ1,θ2,…,θ1为参数。 若(x1,x2,…,xn)是样本(ξ1,ξ2,…,ξn)的一个观测值,那么(ξ1,ξ2,…,ξn)落在点(x1,x2,…,xn)的邻域里的概率为  最大似然法的基本思想是:样本(ξ1,ξ2,…,ξn) 一次落在点(x1,x2,…,xn)的邻域里的概率,一定是所有#中最大的。 对回归模型Y=Xβ十u应用最大似然法时,似然函数为  此处p(Yi)表示Yi的概率密度,若Yi服从正态分布,则:  为求极值方便,对似然函数求对数  解方程组  得到最大似然估计量#(其中e=Y-Xβ)。 可以看出,β的最大似然估计量与最小二乘估计量完全相同,σ2的最大似然估计量略有不同,它在小样本时是有偏估计量,大样本时是一致估计量。 (谢方) 置信区间(confidence interval) 设总体分布有一参数β,根据样本计算其估计量为β,对于给定的正数α(0<α<1),找出另一正数δ,使 P(β-δ≤β≤β+δ)=1-α 成立,那么区间[β-δ,β+δ]称为β的100(1-α)%置信区间。其中1-α称置信度(degree of confidence),常用百分数表示为100(1-α)%。 上式表明,由样本观测值构造的置信区间包含真值β的概率为1-α,所以[β-δ,β+δ]又称为β的区间估计式。 由最小二乘法得到的是回归方程系数的点估计式,进一步推导出的系数方差和扰动项方差也都是点估计式。 仅由点估计式无法判断其可靠程度,而区间估计式则补充了这一不足。区间估计式指出了真值落在该区间内的概率。 置信区间也用于[假设检验],称置信区间法。如果原假设给出的β值落在置信区间外,那么我们就拒绝原假设,接受备择假设。 |