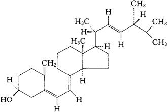
维生素D2[典]
C28H44O=396.66 CAS-50-14-6 9,10-开键麦角甾-5,7,10(19),22-四烯-3-醇(3β,5Z,7E,22E)。 9,10-Secoergosta-5,7,10(19),22-tetraen-3-ol(3β,5Z,7E,22E). 维生素类药。促进肠内钙磷的吸收,促进骨质钙化。用于佝偻病、骨软化症及甲状腺功能低下等。 麦角骨化醇,骨化醇,维生素丁2,第二钙化醇(台)。 Vitamin D2,Ergocalciferol,Oleovitamin D2,Calciferol.Deltalin,Drisdol. 维生素D2片,维生素D2胶囊,维生素D2丸,维生素D2注射液,第二钙化醇胶囊(台)。 INN,BP,DCIT,EP,FP,GDP,JP,NFN,USAN,USP,USSRP,MI.  |