美西那隆
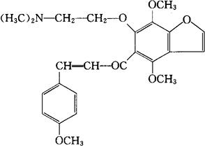
C24H27NO6=425.48 CAS-26225-59-2 1-[6-[-2-(二甲氨基)乙氧]-4,7-二甲氧-5-苯并呋喃基]-3-(对-甲氧苯基)-2-丙烯-1-酮。 1-[6-[2-(Dimethylamino)ethoxy]-4,7-dimethoxy-5-benzofuranyl]-3-(p-methoxyphenyl)-2-propen-1-one. 5-对-甲氧肉桂酰基-4,7-二甲氧-6-(2-二甲氨基乙氧基)苯并[b]呋喃。 5-p-Methoxycinnamoyl-4,7-dimethoxy-6-(2-dimethylaminoethoxy)benzo[b]furan. 血管扩张药,抗高血压药,解痉药。 美施那荣。 Mecinarone,6809 MD. INN,USAN.  |