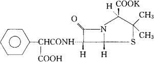
羧苄西林钾
C17H17KN2O6S=416.49 CAS-17230-86-3 CAS-4697-36-3(carbenicillin) 6-[(羧苯乙酰)氨基]-3,3-二甲基-7-氧代-4-硫杂-1-氮杂双环[3.2.0]庚烷-2-羧酸单钾盐[6s-(2α,5α,6β)]。 6-[(Carboxyphenylacetyl)amino]-3,3-dimethyl-7-oxo-4-thia-1-azabicyclo[3.2.0]heptane-2-carboxylicacid,monopotassium salt,[6s-(2α,5α,6β)]. N-(2-羧-3,3-二甲基7-氧代-4-硫朵-1-氮杂双环[3.2.0]庚基-6-基)-2-苯丙二酰胺酸2-(钾盐)。 N-(2-Carboxy-3,3 dimethyl-7-oxo-4-thia-1-azabicyclo[3.2.0]hept-6-yl)-2-phenylmalonamic acid 2-(potassium salt). 抗生素类药。 羧苄青霉素钾。 Carbenicillin Potassium,GS-3159. USAN. 
|