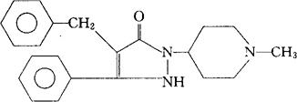
苄哌立隆
C22H25N3O=347.46 CAS-53-89-4 4-苄基-1-(1-甲基-4-哌啶基)-3-苯基-3-吡唑啉-5-酮。 4-Benzyl-1-(1-methyl-4-piperidinyl)-3-phenyl-3-pyrazolin-5-one. 1,2-二氢-2-(1-甲基-4-哌啶基)-5-苯基-4-(苯甲基)-3H-吡唑-3-酮。 1,2-Dihydro-2-(1-methyl-4-piperidinyl)-5-phenyl-4-(phenylmethyl)-3H-pyrazol-3-one. 消炎药。 哌苯唑酮。 Benzpiperylon,KB 95,Benzpiperilone,Benzometan Telon,Reublonil. INN,USAN,MI.  |