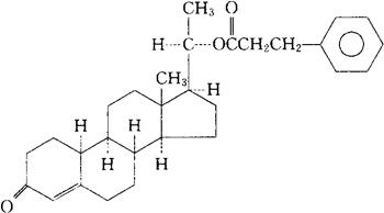
苯丙酸奥索孕酮
C29H38O3=434.62 CAS-16915-80-3 CAS-3643-00-3(oxogestone) (20β)20-(1-氧代-3-苯丙氧)-19-去甲孕甾-4-烯-3-酮。 (20β)20-(l-Oxo-3-phenylpropoxy)-19-norpregn-4-en-3-one. 20β-羟-19-去甲孕甾-4-烯-3-酮,氢化肉桂酸酯。 20β-Hydroxy-19-norpregn-4-en-3-one hydrocinnamate. 孕激素类药。 Orogestine Phenpropionate. INN(Oxogestone),USAN.  |