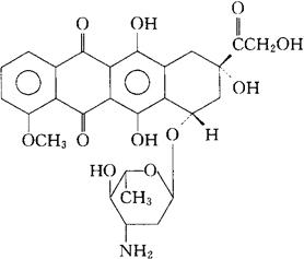
表柔比星[中]
C27H29NO11=543.53 CAS-56420-45-2 (1S,3S)-3-乙醇酰-I,2,3,4,6,11-六氢-3,5,12-三羟基-10-甲氧基-6,11-二氧代-1-并四苯基的-3-氨基-2,3,6-三脱氧-α-L-阿拉伯-己吡喃糖甙。 (1S,3S)-3-Glycoloyl-1,2,3,4,6,11-hexahydro-3,5,12-trihydroxy-10-methoxy-6,11,dioxo-1-naphthacenyl 3-amino-2,3,6-trideoxy-L-arabino-hexopyranoside. 抗生素类药。 Epirubicin. INN,DCIT,USAN.  |