覆盆子叶
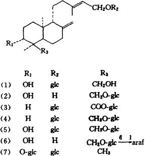
【概况】: 异名 西国草(《海上集验方》)。 基源 为蔷薇科悬钩子属植物掌叶覆盆子及插田泡等的茎叶。 原植物 掌叶覆盆子Rubus chingii Hu插田泡Rubus coreanus Miq 余项参见“覆盆子”条。 。【化学】: 掌叶覆盆子叶中含有覆盆子甙(Goshonoside)-F1(1)、F2(2)、-F3(3)、-F4(4)、-F5(5)、F6(6)、F7(7)[1,2]。 R.coreanus Miq.的叶、果均含插田泡甙(Coreanoside)F1[3]。  注:glc=β-D-glucopyanosyl araf=a-L-arabinofuranosyl 参考文献 [1] Chem Pharm Bull 1987;35(7)∶3021 [2] Chem Pharm Bull 1991;39(9)∶2443 [3] Phyfochemistry 1990;29(10)∶3275 【药性】: 性味 《纲目》:“酸、咸,平。” 功效 明目止泪,收湿气。 主治 眼睑赤烂,泪多,视物昏花,牙痛,臁疮。 《本草拾遗》:“挼绞取汁滴入目中,去肤赤,有虫出如丝线。” 用法用量 外用:捣汁点目或研末撒。 。【临床应用】: 单方应用 ❶ 崔元亮《海上集验方》:“治目暗不见物,冷泪不止及青盲,天行目暗等疾:西国草,日曝干,捣极细,薄绵裹,乳汁浸如人行八九里久,点目中,仰卧。” ❷ 《摘玄方》:“治牙疼:覆盆嫩叶捣汁点目眦内三四次。无新叶,干者煮浓汁亦可。 ” ❸ 《仁斋直指方》:“治臁疮溃烂:覆盆子叶为末,患处用酸浆水洗后掺之,日1次,以愈为度。” |