设备的热损失计算及实例
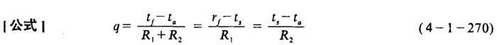
1.一般计算 [说明]许多设备外壳壁面的温度通常高于周围介质的温度,故热量将由壁面以对流和辐射两种方式向周围散失。  式中 Q——总的热损失(W) x——对流、辐射联合传热系数[W/(m2·℃)]  ❶ 空气作自然对流时 在平壁保温层外:  在管道或圆筒等容器壁保温层外:  ❷ 空气沿粗糙壁面作强制对流时 当空气流速u<5m/s时:  当空气流速u<5m/s时:  A.——设备外壁面积(m2) t1——设备的壁温(℃) t——环境温度(℃) α1——对流传热系数[W/(m2·℃)] α2——辐射传热系数[W/(m2·℃)] [例]用厂用25m3蒸球蒸煮原料,已知蒸球的内径为3650mm,球壁厚度为14mm,球内平均工作温度140℃,日工作10h,环境平均温度15℃。后加50mm保温层,球外壁温度为50℃,求保温前后的年热损失及折算标煤量。  2.近似计算 ❶ 外径d<1m的管道及圆筒形设备的散热量  式中 q——热损失[kcal/(m·℃)] tf——管内流体温度(℃) tα——周围空气温度(℃) ts——绝热层表面温度(℃) R1——见下式  λ——绝热材料在其平均温度下的导热系数[kcal/(m·h·℃) D1——绝热层外径(m) D0——管道或圆筒形设备的裸露外径(m) R2——见下式  x1——有风时绝热层表面至周围空气间的总给热系数[kcal/(m2·h·℃)]❷ 平壁及外径d>1的管道及圆筒形设备的散热量  式中 q′——散热量[kcal/(m·℃)] R1′——见下式  δ——绝热层厚度(m) R2′——见下式  其它同上 |