网站首页  词典首页

请输入您要查询的字词:

 

字词 证明不等式的常用方法
类别 中英文字词句释义及详细解析
释义 证明不等式的常用方法

1.比较法(作差和作商)

2.综合法:利用不等式的性质和已证明过的不等式以及函数单调性推导出待证不等式的方法,可概括为“由因导果”.

3.分析法:从待证不等式出发,分析并寻求使这个不等式成立的充分条件的方法,可概括为“执果索因”.

4.反证法:从否定结论出发,经过逻辑推理,导出矛盾,证实结论的否定是错误的,从而肯定原结论是正确的证明方法.

5.换元法:换元法是指对结构较为复杂、量与量之间关系不甚明了的命题,通过恰当引入新变量,代换原题中的部分式子,简化原有结构,使其转化为便于研究的形式.

6.放缩法:欲证A≥B,可通过适当放大或缩小,借助一个或多个中间量,使得B≤B1,B1≤B2…,Bi≤A,或A≥A1,A1≥A2,…,Ai≥B,再利用传递性,达到欲证的目的,这种方法叫做放缩法.

7.最值法:x≥y恒成立;x≤y恒成立

8.判别式法:判别式法是根据已知的或构造出来的一元二次方程、一元二次不等式、二次函数的根、解集、函数的性质等特征确定出其判别式所应满足的不等式,从而推出欲证的不等式的方法.

分析 观察待证不等式特征,用比较法或分析法比较合适.

证明 1.(作差比较法)

2.(分析法)

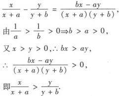
∵x,y,a,b∈R+,∴要证

只要证x(y+b)>y(x+a),

即证xb>ya.

而由

x>y>0,知xb>ay显然成立.

故原不等式成立.

评析 本题证法实际上还渗透了综合法,因此证明不等式不要拘于某一种方法,要灵活运用.

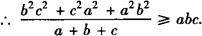
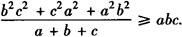
例2 已知a,b,c∈R+,求证:

分析 像这种不等式中各字母具有“对称性”(即字母任意交换位置式子不变)的不等式通常都可以用综合法证明.

证明 ∵b2c2+a2c2≥2abc2

c2a2+a2b2≥2a2bc,a2b2+b2c2≥2ab2c,

三式相加得:

b2c2+c2a2+a2b2≥abc(a+b+c).

∵a,b,c∈R+,∴a+b+c>0.

评析 此题常见的错误证法是

错误的原因是将分式的分子、分母皆缩小了,但这时分式的值不一定变小.

例3 在锐角三角形中,求证:sinA+sinB+sinC>cosA+cosB+cosC.

证明 在锐角三角形中,

,∴

又∵在(0,)内正弦函数是单调递增函数,所以有sinA>=cosB,

即sinA>cosB, ❶ 

同理sinB>cosC,
❷ 

sinC>cosA.❸ 

以上❶ +❷ +❸ 两端分别相加,有sinA+sinB+sinC>cosA+cosB+cosC.

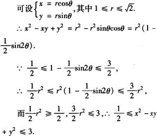
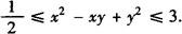
例4 已知1≤x2+y2≤2,求证:

分析 从已知条件看,可用三角代换,但需要引入半径参数r.

证明 ∵1≤x2+y2≤2,

评析 三角代换是最常见的变量代换,凡条件为x2+y2=r2或x2+y2≤r2 等均可用三角代换.

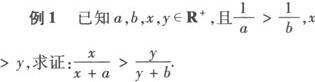
例5 设a,b,c∈R.

证明 a2+b2+c2≥ab+bc+ca.

分析 这是一道常见不等式,用作差和综合法都可以证明,但也可以用判别式法证明.

证明 设f(a)=a2+b2+c2—ab—bc—ca

=a2—(b+c)a+(b2+c2—bc)

∵△=(b+c)2—4(b2+c2—bc)

=—3b2+6bc—3c2

=—3(b—c)2≤0,

∴f(a)≥0.

∴a2+b2+c2≥ab+bc+ca.

评析 判别式法是证明不等式的一种特殊方法,关键在于构造恰当的一元二次函数,一元二次不等式.

随便看

 

文网收录3541549条中英文词条,其功能与新华字典、现代汉语词典、牛津高阶英汉词典等各类中英文词典类似,基本涵盖了全部常用中英文字词句的读音、释义及用法,是语言学习和写作的有利工具。

 

Copyright © 2004-2024 Ctoth.com All Rights Reserved
京ICP备2021023879号 更新时间:2026/4/26 20:46:08