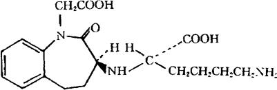
赖苯普利
C18H25N3O5=363.41 CAS-109214-55-3 CAS-97878-35-8 [(S-(R*,R*)]*3-[(5-氨基-1-羧戊基)氨基]-2,3,4,5-四氢-2-氧代-1H1-苯并吖庚因-1-醋酸。 3-[(5-Amino-1-carboxypentyl)amino]-2,3,4,5-tetrahydro-2-oxo-1H1-benzazepine-1-acetic acid-,[(S-(R*,R*)]. N-[(3S)-1-(羟甲基)-2,3,4,5-四氢-2-氧化-1H-1-苯并吖庚因3基]-L-赖氨酸。 N-[(3S)-1-(Carboxymethyl)-2,3,4,5-tetrahydro-2-oxo-1H-1-benzazepin-3-yl]-L-lysine. 酶抑制药,抗高血压药。 Libenzapril,CGS 16617. INN,USAN. 
|