轴的刚度计算
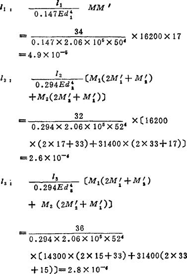
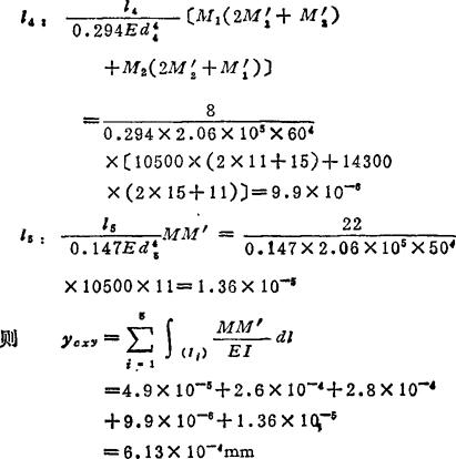
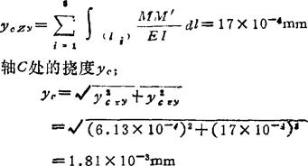
轴的刚度可分两大类:弯曲刚度和扭转刚度。对于轴的弯曲刚度,通常用挠度y及偏转角θ来度量。轴弯曲的允许变形量可参考表4.6-13。求阶梯轴的弯 曲变形,通常采用变形能量法。其步骤是:先绘制 如图4.6-7所示轴的外形图及弯矩图M(图b),欲计算C处的挠度yc,则在C处加一与变形方向相同的单位力 ,并绘出其弯矩图M′(图c);欲计算A处的偏转角θA,则在A处加一与变形方向相同的单位力矩 ,并绘出其弯矩图M′(图d)。然后,按M、M′及截面的连续性,把轴分成为若干段。轴段的划分,以各阶梯的截面变化处和各作用力(实际载荷、单位力及支反力)的作用点作为轴段的分界点,如图a、b、c分为五段,图d分为四段。轴在欲计算截面处的挠度y或偏转角θ,可由下式求得: 表4.6-14 各种轴段的积分值 解:先计算轴C处在xy平面内的挠度yexy。求各轴段积分值的公式查表4.6-14,于是:   用同样的方法可求得轴C处在Zy平面内的挠度ycZy:  应该说明的是,这里是通过一种简单的受力情况以说明求挠度的一般方法,即分别在两个互相垂直的座标平面中求挠度,然后合成。实际上,就本例的具体情况而言,无需将齿轮所受的法向力分解。只需画出该力的弯矩图即可直接求yc。 |