网站首页  词典首页

请输入您要查询的字词:

 

字词 辊筒(管辊)的临界速度计算
类别 中英文字词句释义及详细解析
释义 辊筒(管辊)的临界速度计算

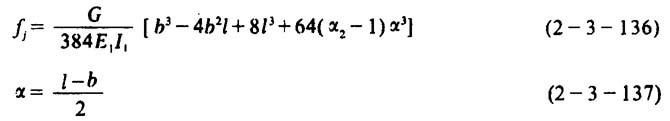
[说明]随著造纸机工作车速的提高,辊筒的振动就会加剧,对于造纸机辊筒上的振动主要应考虑的是在其挠曲时的横振动,这时的速度称为管辊的临界速度。

一般直径较小的管辊如案辊及引纸辊、导辊等,均应核算临界速度,因为它们具有较大的工作角速度,而且它们的刚度相对地较小,临界速度较低。

式中 Ve——第一临界角速度(强/s或弧度/s)

g——重力加速度(9.81m/s2)

f1——包括轴颈在辊筒自重作用下的挠度在内的辊筒总的静挠度(m)

其它同上

随便看

 

文网收录3541549条中英文词条,其功能与新华字典、现代汉语词典、牛津高阶英汉词典等各类中英文词典类似,基本涵盖了全部常用中英文字词句的读音、释义及用法,是语言学习和写作的有利工具。

 

Copyright © 2004-2024 Ctoth.com All Rights Reserved
京ICP备2021023879号 更新时间:2025/10/18 20:39:40