醋酸依地福龙
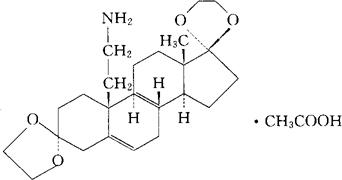
C24H37NO4·C2H4O2=463.61 CAS-90733-42-9 CAS-90733-40-7(edifolone) 10-(2-氨乙基)-雌甾-3,17-二酮,环双(1,2-乙烷二基乙缩醛)醋酸盐。 10-(2-Aminoethyl)estr-5-ene-3,17-dione,cyclic bis(1,2-ethanediyl acetal)acetate. 10-(氨乙基)雌甾-5-烯-3,17-二酮,环双(乙烯基乙缩醛)醋酸盐。 10-(Aminoethyl)estr-5-ene-3,17-dione,cyclic bis(ethylene acetal)acetate. 抗心律失常药。 Edifolone Acetate,SC-35135. INN(Edifolone),USAN.  |