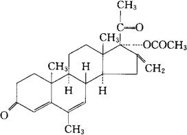
醋酸美仑孕酮
C25H32O4=396.53 CAS-2919-66-6 CAS-5633-18-1(melengestro1) 17-(乙酰氧)-6-甲基-16-亚甲基-孕甾-4,6-二烯-3,20-二酮。 17-(Acetyloxy)-6-methyl-16-methylene-pregna-4,6-diene-3,20-dione, 17-羟-6-甲基-16-亚甲基孕甾-4,6-二烯-3,20-二酮醋酸盐。 17-Hydroxy-6-methyl-16-methyleneprenga-4,6-diene3,2O-dione acetate. 孕激素类药,抗肿瘤药。 美仑孕酮醋酸盐。 Melengestrol Acetate,BDH 1921,MJ 5373,NSC70968,U 21240. INN,BAN(Melengestrol),USAN.  |