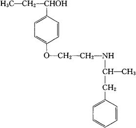
非那可明
C20H27NO2=313.44 CAS-34616-39-2 α-乙基-对-[2-[(α-甲基苯乙基)氨基]乙氧]苄醇。 α-Ethyl-p-[2-[(α-methylphenethyl)amino]ethoxy]benzyl alcohol. 2-[N-[β-[4-(α-羟丙基)苯氧]乙基]氨基]-1-苯丙烷。 2-[N-[β-[4-(α-Hydroxypropyl)phenoxy]ethyl]amino]-1-phenylpropane. 冠脉扩张药,局部麻醉药。 Fenalcomine. INN,DCF,USAN,MI.  |