网站首页  词典首页

请输入您要查询的字词:

 

字词 马钱子
类别 中英文字词句释义及详细解析
释义 马钱子

【名称出处】:《纲目》

【概况】:

异名 苦实(《本草原始》),马前、牛银(《本草求原》),大方八(《中药材手册》)。

基源 为马钱科马钱属植物云南马钱及马钱的成熟种子。马钱属全世界约200种,中国约有8种。

原植物 云南马钱Strychnos wallichiana Steud.ex DC.(Strychnos pierriana A.W.Hill),又名长籽马钱、皮氏马钱(《中药志》),尾叶马钱(《云南植物志》)。马钱Strychnos nux-vomica L.,又名番木鳖(通称)。

历史 马钱子以番木鳖之名始载于《纲目》。李时珍释其名曰:“状如马之连钱,故名马钱。”但《纲目》中附图与木鳖子相混淆,可能李时珍当时并未见到马钱子的原植物。但是根据其所载疗效、药性及附方,可认为即是目前所习用的马钱子。

形态 云南马钱为木质大藤本,树皮灰白色,小枝圆柱状,卷须腋生。叶片革质,椭圆形,长7~12cm,宽3~4.5cm,先端急尖至渐尖,基部楔形或近圆形,两面均光滑无毛,叶脉为离基3出脉,在下面隆起;叶柄长5~7mm。圆锥花序顶生,长约4cm;总花梗及小花梗被短柔毛;花萼绿色,先端5裂,裂片卵形,具缘毛;花冠白色;花冠筒长约10mm,先端5裂,裂片卵形,长约4mm,内面基部被短柔毛;雄蕊5,著生于花冠筒喉部,花丝极短,花药顶端具明显尖头;子房狭卵形,花柱细长,均无毛,柱头头状。浆果球形,直径4~6cm,熟时橘红色。

种子长圆形,长2~3cm,宽1.5~2.2cm,扁平,被浅灰棕色密绢毛。花期3~5月,果期5~8月。

(图见《中药志》.第3册.第2版.彩图14)

生境与分布 生于较炎热的半山坡凹地、山谷荫湿处或杂木林、树丛中。分布于云南东南部。

马钱为乔木,高约10m,树干直立,粗壮,树皮灰色。叶片革质。

对生,椭圆形、卵形至广卵形,长6~15cm,宽4~8.5cm,先端急尖,基部圆形至广楔形,全缘,两面光滑无毛;叶柄长4~6mm。聚伞花序顶生,直径2.5~5cm,被柔毛;花较小,灰白色;花萼绿色,5裂,裂片卵圆形,密被短柔毛;花冠筒状,长10~12mm,先端5裂,裂片卵形,长2.5~4mm,先端钝,花冠筒内侧近基部被长柔毛;雄蕊5,著生于花冠筒喉部,几无花丝;子房上位,卵形,花柱细长,柱头头状。

浆果球形,直径2,5~5cm,成熟时橙色。种子2~5,圆盘形,直径1~3cm,表面灰黄色,密被银色茸毛。福建、台湾、广东、广西、云南有栽培。主产于印度、越南、缅甸、泰国。

。【生药】:

栽培 本品属热带树种,宜阳,怕霜冻,抗风力强,忌水涝。

适在土层深厚、疏松、排水良好的壤土栽种。用种子繁殖。秋季种子成熟时,随采随播;也可用湿砂贮藏于次年春播。播前将种子浸种2天,在阴凉处催芽,待胚根露白点时播种,按行株距33×10cm开沟点播,深2~3cm,胚根朝下,直放种子。播后覆土,保持土壤湿润。出苗后,需勤除杂草,适时追肥,并搭棚遮荫,干旱季节注意灌溉。

育苗1年后,苗高33cm以上时按株行距3×5m定植。栽后,每年需全面培育管理1~2次,冬季注意防霜冻。亦可采用同种马钱不同植株之间进行芽接。

采集 秋季于果实成熟时,摘取果实,取出种子,洗净附著的果肉,晒干。马钱子主产于印度、越南、缅甸、泰国、锡金。云南马钱主产于云南东南部及越南。

鉴别 云南马钱种子扁椭圆形或扁圆形,边缘较薄而微翘,子叶卵形,叶脉3条。

性状 马钱种子钮扣状圆板形,直径1.5~3cm,厚3~6mm,常一面隆起,一面稍凹下;表面密被灰棕或灰绿色绢状茸毛,自中间向四周呈辐射状排列,有丝样光泽,边缘稍隆起,较厚,有突起的珠孔,底面中心有突起的圆点状种脐。质坚硬,平行剖面可见淡黄白色胚乳,角质状,子叶心形脉5~7条。

无臭,味极苦。

显微 ❶ 长籽马钱种子横切面与马钱子的主要区别:表皮非腺毛长520~1040μm,宽约20μm,平直或多少扭曲,壁具9~10个纵肋,常自然分离成无色细长条状,先端尖锐或钝圆,基部仍互相连合,毛茸基部不规则增厚,有纹孔。(图见《中药志》第3册.第2版.图119) 粉末:灰白色,味苦(有毒)。 1)种皮表皮毛单细胞,大多碎断纵裂,完整者长360-1152μm,直径18~65μm,壁强木化;基部淡黄绿色,较膨大似石细胞样,壁厚至14μm,纹孔纵裂缝状,稍斜转的膨大处纵长裂缝数条明显,胞腔分枝,毛的体部斜向一方,稍扭曲,顶端钝圆,壁有5~11条纵向脊状增厚,胞腔断面观类圆形,粉碎时脊状增厚壁易纵向裂开,成裂片束或单个裂片,裂片束宛如纤维束,略弯曲或扭转,也有裂片不全裂开而交错扭结成束,单个裂片直径5~11μm,有时再2~3不完全纵裂。 2)内胚乳细胞呈多角形、长多角形或类圆形,直径22~45μm,壁较厚或极厚,可见纹理,细胞含糊粉粒,有的可见拟晶体,并含脂肪油滴。

3)色素层棕色或黄棕色,为颓废的种皮内层薄壁细胞,含油滴,并可见微细晶状物。(图见《中药材粉末显微鉴定》.图247)❷ 马钱子种子横切面:种皮表皮细胞均向外延长,并向一方倾斜形成单细胞非腺毛,长500~1000(~1700)μm,壁厚,木化,有纵脊约10条,基部稍膨大,有纹孔及孔沟,形似石细胞;表皮下有数列棕色颓废的薄壁细胞。胚乳细胞多角形,壁厚,半纤维素性,隐约可见胞间连丝,用碘液封藏较明显,含有脂肪油糊粉粒,糊粉粒直径15~30μm,内含数个拟球体。(图见《中药志》.第3册.第2版.图119) 粉末:灰黄色,味苦(有毒)。

1)种皮表皮毛单细胞,大多碎断纵裂,完整者长550~1100μm,直径25~63μm,壁强木化,基部较膨大似石细胞样,极厚,纹孔纵裂缝状;胞腔分枝,含黄棕色物,毛的体部向一方倒伏,圆柱形,顶端钝圆,壁有5~18条纵向脊状增厚,胞腔断面观类圆形,粉碎时脊状增厚壁易纵向裂开,成裂片束或单个裂片,直径3~9μm,顶端尖,断端须状,表面有微细的纵纹理,有时裂片再2~3不完全纵裂。 2)内胚乳细胞呈多角形、长多角形或类圆形,壁较厚或极厚(主由甘露聚糖和半乳聚糖组成),隐约可见极细密的孔沟(胞间连丝)细胞含糊粉粒,有的可见拟晶体,并含脂肪油滴。

3)色素层棕色,为颓废的种皮内层薄壁细胞,常与胚乳细胞相连。(图见《中药材粉末显微鉴定》.图246)

理化 ❶ 马钱子的薄层色谱 1)取样品粉末0.5g,加氯仿-乙醇(10∶1)混合溶剂5ml及浓氨水0.5ml,密塞,振摇5分钟,放置2小时,滤过,滤液作为供试品溶液。另取士的宁和马钱子碱对照品,加氯仿溶解,制成每1ml各含2mg的混合对照品溶液。取上述两种溶液各10μl,分别点于同一种硅胶G板上,以甲苯-丙酮-乙醇-浓氨水(4∶5∶0.6∶0.4)为展开剂,以士的宁、马钱子碱为对照。展距15cm,取出,晾干,喷以稀碘化铋钾试液,对照品显橙色斑点,供试品在与对照品相应的位置上,显相同的斑点。(图见《中药材薄层色谱鉴别》.图332-1A) 2)取样品粉末1g,加乙醚-氯仿(3∶1)10ml,混匀后加入氨水1ml,密塞振摇10分钟,放置2小时,不时振摇,滤过,取滤液20μl及对照品溶液点于硅胶G板上,以甲苯-丙酮-乙醇-氨水(4∶5∶0.6∶0.4)为展开剂,以土的宁、马钱子碱为对照展开后,用碘化铋钾试液显色,斑点显棕色(图见《中药材薄层色谱鉴别》图332-1B)。

3)取样品粉末0.5g,按“1”项下方法制备点样液,点于硅胶G板上,以甲苯-丙酮-乙醇-浓氨水(8∶6∶0.5∶2)的上层液为展开剂,以士的宁、马钱子碱为对照展开后,用稀碘化铋钾试液显色。(图见《中药材薄层色谱鉴别》.图323-2)❷ 马钱子及其炮制品的薄层色谱 1)取样品粉末1g,加石油醚50ml,振摇放置4小时,滤过,残渣用酸水振摇3次,每次10ml,合并酸提液,用氨水碱化,用氯仿萃取3次,每次10ml,合并氯仿液,挥去大部分的溶剂,剩余液点于中性氧化铝软板上,以苯-醋酸乙酯(1∶2)为展开剂,以士的宁、马钱子碱为对照展开后,用碘蒸气显色(图见《中药材薄层色谱鉴别》.图332-3)或用碘化铋钾试液趁展开剂未干时快速显色。(图见《中药材薄层色谱鉴别》.图332-4) 2)取样品粉末0.3g,加氯仿20ml,浓氨水0.5ml,轻轻摇匀,室温放置过夜,滤过,滤液蒸干,残渣加氯仿少许溶解后,点于硅胶G板上,以丙酮-氯仿-浓氨水(30∶15∶1)为展开剂,以士的宁、马钱子碱为对照展距17cm,用稀碘化铋钾试液显色(图见《中药材薄层色谱鉴别》.图332-5)❸ 马钱子与同属植物种子的薄层色谱 取样品粉末适量,加乙醇20ml冷浸2小时,过滤去渣,滤液蒸去溶剂,加1mol/L盐酸液3ml溶解,移至分液漏斗中,用氨水调节pH至9,用氯仿3ml提取3次,浓缩氯仿溶液至约1.5ml,点于硅胶G板上,以乙酸乙酯-异丙醇-浓氨水(6∶3∶1)为展开剂,以马钱子碱,士的宁碱为对照。展距17cm,用改良碘化铋钾试剂喷雾显色。

(图见《中药材薄层色谱鉴别》.图332-6)

加工炮制 常用炮制品有生马钱子和制马钱子。 ❶ 生马钱子取原药材,除去杂质,筛去灰屑。

❷ 制马钱子 取净砂子置锅内,用武火炒热,加入净马钱子,拌炒至深棕色,鼓起,内面红褐色,并起小泡时,取出,除去毛放凉。供制粉或捣碎用。

此外,尚有油制,炒制,甘草制,童便制,绿豆制,姜制,甘草、香油制等炮制方法。

贮藏 置通风干燥处。生品专库保管。。

【化学】:

成熟种子含生物碱1.5%~5%。

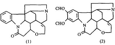
为番木鳖碱(Strychnine)(1)[1]、马钱子碱(Brucine)(2)[2]、可鲁勃林(Colubrine)、16-羟基可鲁勃林、伪番木鳖碱(Pseudo-strychnine)番木鳖次甙(Vomicine)、番木鳖甙碱(Loganin)[1-4]原番木鳖碱(Protostrychnine)、4-羟基-3-甲氧基番木鳖碱、异番木鳖碱(Isostry chnine)[5]、15-羟基番木鳖碱[6]、3-甲氧基甲基伪番木鳖碱(3-Methoryicajine)[7]及一个含2个糖的甙类化合物(Cuchiloside)[8]。根皮含生物碱约9%,有番木鳖碱、马钱子碱、可鲁勃林、番木鳖次碱等,另含0.12%季铵生物碱马瓦箭毒素(Maracurine)[3,9]。根皮中主含番木鳖碱、马钱子碱,以及少量的伪番木鳖碱、伪马钱子碱等[3,9-10]。叶含番木鳖次碱、甲基伪马钱子碱(Novacine)、甲基伪番木鳖碱(Icajine),以及番木鳖碱、马钱子碱、可鲁勃林[3,11-15]。马钱子经砂炒、油制后,其成分有明显变化,从炮制后的马钱子中分离出番木鳖碱、异马钱子碱、异马钱子-N-氧化物、异士的宁-N-氧化物和2-OH-3甲氧基异士的宁等生物碱[16]

参考文献 [1] 药材学.人民卫生出版社.1963.488.[2] The Alkaloidsl chemistry ami Physiology,1950;1:376 [3] CA 1972;76:56580a [4] CA 1970;73:109948y [5] Phytochemistry 1979;18(3):512 [6] CA 1980;92:160536g [7] Phytochemistry 1979;28(2):2065 [8] Phytocheimstry 1989;28(5):1553 [9] CA 1966;65:3920a [10] CA 1969;71:109781x [11] CA 1969;70:84955w [12] CA 1953;47:5951i [13] CA 1968;68:22116y [14] CA 1968;69:57457h [15] CA 1966;64:9778d [16] 国外医药植物学分册 1991;6(3):135 [17] Shoyakugaku Zasshi,1990;44(1):42 [18] Chem Pharm Bull 1990;38(5):1295

【药理】:

种子含番木鳖碱(士的宁)及根皮中的布鲁生(Brucine,马钱子碱)均为毒药。

成人1次服5~10mg的士的宁可至中毒,30mg可致死亡。曾报道用马钱子治疗白喉,总剂量达50.54mg时引起中毒;并有服马钱子7粒中毒致死的病例报告。死亡原因为强直性惊厥反复发作造成衰竭或窒息死亡[1]

士的宁对中枢神经系统有强烈兴奋作用,po后很快吸收,先兴奋脊髓的反射机能,其次兴奋延脑的呼吸中枢及血管运动中枢,并能提高大脑皮层的感觉中枢机能。

士的宁能与突触后抑制性递质甘氨酸竞争突触后抑制部位,因此能选择性阻断运动神经元和中间神经元的突触后抑制,使运动神经元对传入刺激起较大反应,同时也能阻断脊髓中闰绍细胞(Renshaw Cell)对运动神经元的抑制作用,这样就减弱或消除了对抗肌《伸肌与屈肌)之间的交互抑制,因此大剂量可致强直性惊厥[2]

士的宁具强烈苦味,可反射性增加胃液分泌,对人体胃肠平滑肌无兴奋作用[3]

布鲁生对呼吸系统的作用为士的宁的1/8;它对感觉神经末梢有麻痹作用,5%~10%溶液可使口腔粘膜麻醉[4]

毒性 士的宁、布鲁生和马钱子仁对小鼠ig的LD50(mg/kg)分别为3.27、233和234.5;ip时则分别为1.53、69和77.76,布鲁生给犬iv和LD50为8mg/kg。

马钱子粉小鼠ig的LD50为301.9±35.9mg/kg[1.5,6]

参考文献 [1] 新医药学杂志 1973;(6):35 [2] 药理学.人民卫生出版社,1979;109 [3] 药理学人民卫生出版社,1962:62 [4] A Manual of pharmacolog 1957;241 [5] The Merck Index.9ed.Merck & co.,1976;1453 [6] 河南医科大学学报 1989;24(4):288

。【药性】:

性味 苦、寒。

有大毒。 ❶ 《纲目》:“苦,寒。”
❷ 《本草原始》:“苦,寒。大毒。

功效 散结消肿,通络止痛。

主治 风湿顽痹,咽喉痹痛,痈疽肿痛,风痹疼痛,麻木瘫痪,跌扑损伤。

并治面神经麻痹,重症肌无力,小儿麻痹后遗症。 ❶ 《纲目》:“治伤寒热病,咽喉痹痛,消痞块,并含之咽汁,或磨水噙咽。”
❷ 《中药志》:“散血热,消肿毒。治痈疽恶疮。”

用法用量 内服:炮制后入丸、散,0.3~0.6g(1日量)。外用:醋磨涂、研末吹喉或调敷。

使用注意 孕妇禁用及体虚者忌服;不宜生用、久服多服。 《本草经疏》:“气血虚弱、脾胃不实者,慎勿用之。”

【临床应用】:

配伍应用 ❶ 配山豆根、青木香,治喉痹作痛。

❷ 配乳香、没药,治跌打损伤。
❸ 配羌活、独活,治风湿痹痛。
❹ 配草乌、当归,治阴疽、流注。
❺ 配草乌、生南星作麻醉药。

方选和验方 ❶ 马钱散(《救生苦海》)治痈疽初起,跌扑内伤,风痹疼痛:番木鳖(入砂锅内黄土拌炒焦黄为度,石臼中捣磨,筛去皮毛,拣净末)、山芝麻(去壳、酒炒)、乳香末(箬叶烘出汗)各15g,穿山甲(黄土炒脆)30g。共研末。每服3g,酒下,不可多服,服后避风,否则令人发战栗不止,如人虚弱,每服1.5g。
❷ 《全国中草药新医疗法展览会技术资料选编·外科》:“治骨折:马钱子、枳壳。每500g马钱子加甘草30g,同置缸内用冷水浸泡,每日换水1次,15日后将马钱子毛刮净,切片晒干,用细砂炒成黄色,再浸在童便中(冬季2~3周,夏季4~5天),然后用流水冲洗1天半,阴干碾细。枳壳(生熟皆可),用童便浸泡2~3天,取出用水洗净,阴干碾细。将马钱子粉与枳壳粉按1∶3混合即可。也可制为蜜丸,成人日服3次,每次2g,极量1日8g,儿童酌减。

同时进行断骨复位,小夹板固定。孕妇、高血压、高烧及精神病人慎用,服药量大时,出现肌肉抽搐,患处跳动感,头晕,可大量饮水(或用甘草水)解之。”
❸ 马钱子丸(浙江中医杂志1985;(9))治痹症:马钱子、白花蛇、制川乌、制草乌、当归、杜仲、苏叶、木瓜、桂枝、牛膝、延胡索、胆南星、地龙、蜈蚣。打碎烘干水泛为丸每丸,为0.05g。每晚睡前服20丸,并逐日增服1丸,直至出现头昏、肌紧张、关节强直(一时性)等现象,药量不再增加,可服维持药量,即有效量。
❹ 马钱子丸(上海中医药杂志 1990(10))治阳痿:马钱子18g,麻黄32g,枸杞子、菟丝子、覆盆子、五味子、车前子各30g。共研细末。每日2次,每次10g。

10天为1疗程。高血压者忌服马钱子。

❺ 马钱子酒(浙江中医杂志 1989;(6))治多发性神经性皮炎:制马钱子、当归、川牛膝、红花、乌梢蛇、蚕沙各60g,蜈蚣60条,白花蛇2条。以上诸药为末,水煎3次,合并滤液,浓缩至1500ml,兑入白酒1500ml,装瓶备用。

1次10ml,日服3次。
❻ 《医方摘要》:“治喉痹作痛,番木鳖、青木香、山豆根等份。为末吹。”
❼ 《唐瑶经验方》:“治缠喉风肿:番木鳖仁1个,木香1g。同磨水,调熊胆1g,胆矾1.5g,以鸡毛扫患处。”
❽ 马钱竭花散(陕西中医 1985;(4))治慢性风湿性关节炎:马钱子30g(去皮用仁)、血竭花120g。马钱子用香油炸至焦黄色,捞出后同血竭花共研细末,分80包,早、晚饭后各服1包,白开水送服。40天为1疗程。

❾ 马钱子散(中医药学报 1986;(1))治痹症:马钱子(制)100g,南星(制)10g,僵蚕10g,独活10g,川乌10g,当归10g,乌蛇10g,寄生10g,川芎10g,川牛膝10g,伸筋草10g,白附子10g,蜈蚣10g,全虫10g。

共研细面。

每服1.5~2.5g黄酒送服,服后静卧休息30分钟。体弱者每日2次,体稍强者每日3次。

❿ 马钱通关散(中医杂志 1986;(9))治功能性不射精症:制马钱子0.3g,蜈蚣0.5g,冰片0.1g。共研末混匀,每晚睡前1个半小时吞服。

单方应用 ❶ 光华医学杂志 1933;(11):“治中耳炎:番木鳖1个,以井水磨汁滴耳内。”
❷ 马钱子醋糊(新医学 1985;(12))治带状疱疹:生马钱子去皮,以普通食醋磨成糊状,涂搽患部,轻者每日2次,重者每日4~5次。

❸ 吉林中医药 1985;(1):“治面瘫:生马钱子,在温水中浸泡7天后取出,每枚切成6薄片,按面瘫范围大小,1片片摆满在氧化锌贴膏上,敷在患者口角侧。向左歪斜贴在右侧,反之也然,每日换1次。


❹ 马钱子药油(陕西中医 1986;(4))治手足癣:生马钱子放入香油锅中,炸至鼓起,滤后用其药油。涂患处,边搓边用火烤,隔日1次,忌入口内。

❺ 《现代实用中药》:“治脚气,手足麻痹,半身不遂,小便不禁或自遗:番木鳖(去皮,磨细粉)1.8g,甘草(研细粉)1.8g。炼蜜为40粒,每日3次,每次1~2粒食后温水送服,连服7日,停7日再服。”
❻ 《贵州省中医验方秘方》:“治狂犬病:马钱子1粒,酒磨成粉末,开水吞服。”
❼ 上海《全国中草药新医疗法展览会技术资料选编》1970:“治面神经麻痹:将马钱子湿润后,切成薄片,3.6g约可切18~24片,排列于橡皮膏上,贴敷于患侧面部(向左歪贴右,向右歪贴左),约7~10天调换1张,至恢复正常为止。一般轻症贴2次即可。”
❽ 《上海中医药杂志》 1964;(11):“治疗重症肌无力症:将马钱子用水泡(冬天温水、夏天凉水)10~14天。去皮,放入煮沸的花生油内,文火煎约30余分钟,至焦黄色(以手击之即碎为度)时取出,拌于滑石粉内以吸去油质,约经10~14小时,筛去滑石粉,再以清水冲洗1次,待干后研粉即可服用。开始每日0.45g,分3次服,逐渐增至每日1g或1.2g。”
❾ 《兵医资料汇编》1971:“治结核病(颈淋巴结核、肺结核、结核性腹膜炎):取马钱子3.5g砸碎(对形成窦道的颈淋巴结结核加川黄连30g),用开水浸泡1小时,再放入鸡蛋7个,文火煮1小时,将蛋捞出,用冷水浸泡片刻,再放回原药液中泡1小时,即成马钱子药蛋,捞出放凉处备用。每天早晨空腹服药蛋1个,7天为1疗程,间隔7天,再继续下1疗程,一般用2~4个疗程。

煮蛋和泡蛋的过程中谨防将蛋弄破,破蛋应弃去,不能服用。”
❿ 《中药大辞典》:“治疗子宫颈糜烂:取马钱子仁,置香油中炸后,滤去药渣,然后加入适量凡士林,调制成软膏备用。先用过锰酸钾冲洗阴道,揩净阴道、宫颈口的分泌物,将带线的棉塞蘸马钱子油膏放于糜烂处。线尾留在阴道外,经6小时后取出,每日或隔日上药1次。5次为1疗程。” ⑾《江苏省中草药新医疗法展览资料选编》1970:“治痈肿:取马钱子投入铜锅内,加麻油炸至呈深黄色时取出,刮去毛,研成细末,用米糊为丸或装胶囊(平均1粒马钱子装4个胶囊)。成人体壮者,每天3~4丸,临睡前用米汤送服。孕妇、体弱或六岁以下儿童禁服。”

随便看

 

文网收录3541549条中英文词条,其功能与新华字典、现代汉语词典、牛津高阶英汉词典等各类中英文词典类似,基本涵盖了全部常用中英文字词句的读音、释义及用法,是语言学习和写作的有利工具。

 

Copyright © 2004-2024 Ctoth.com All Rights Reserved
京ICP备2021023879号 更新时间:2026/4/17 15:17:00