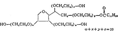
化学名 聚氧乙烯失水山梨醇单月桂酸酯
结构式

性能 琥珀色油状物,味苦。易溶于水、稀酸、稀碱、醇、醚、芳烃、氯化溶剂、酮类、乙二醇、吡啶等,不溶于动物油和矿物油类。有乳化、扩散、润湿等作用。
质量规格(旅顺化工厂)
皂化值,mgKOH/g45~55 羟值,mgKOH/g90~110
酸值,mgKOH/g≤2 HLB值16.7
含水量,%≤30
用途 用作化妆品的乳化剂,橡胶乳液的润湿剂,染料的溶剂,医药品和照相乳液的乳化剂,泡沫塑料稳定剂等。
国内生产厂 辽宁旅顺化工厂、天津助剂厂、辽宁沈阳油脂化工厂。
国外生产公司 美国Ashland Chem、Lonza、ICI、Witco等公司。
国外质量规格参考(美国ICI公司)
