网站首页  词典首页

请输入您要查询的字词:

 

字词 大气式混合冷凝器的计算
类别 中英文字词句释义及详细解析
释义

大气式混合冷凝器的计算


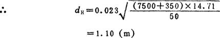
1.冷凝器的直径dH

如取1.5的安全因素,则

式中 F——冷凝器自由截面积(m2)

G——被冷凝蒸汽量(kg/h)

v——蒸汽比容(m2/kg)

W——气体在冷凝器中允许速度(m/s)

气体速度W,显然受到限制。它不能将下降水滴向上带走。水滴直径dW与允许气速W的关系见表3-4-90。在9.8~18.6Pa即0.1~0.2kg/cm2绝对压力下,W-般可取20~55(m/s)。

表3-4-90 气体在冷凝器中允许速度

2.淋水板尺寸 包括宽度、筛孔孔径和筛孔排列等。淋水板宽度须能保证冷却水在板上泛流,又不致过分减少蒸汽通过的面积,可取冷凝器半径加50mm。

水室淋水板宽度取0.8~0.9dH

淋水板上有小孔,以减小液滴直径,加大其比表面积,利于气液热交换。增设若干筛板(且错排),利于液面翻新,加快传热。如果孔径太小,加工费时,也可能发生堵塞。当冷凝器直径小于1m、又采用清洁水时,小孔可取2~5mm;冷凝器直径大于1m时,小孔直径可取5mm。水质不好时,一般不小于5mm。

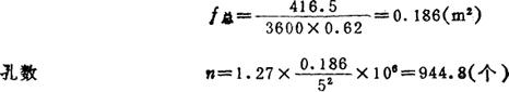
淋水板上小孔面积f(m2)为:

式中 W——水通过小孔流速(m/s)

W——冷却水用量(kg/h)

冷却水量可由上式求得,也可以根据制盐经验取四效二次蒸汽量的60~100倍(视冷却水温而定)。

W与淋水板上溢流堰高度有关,堰高取为40mm时,W可取0.62m/s,此时开孔率(f/F)约为0.025~0.1。

淋水板孔数n为:

式中 d——淋水孔直径(mm)

淋水孔按正三角形排列。

3.冷凝器高度H 与淋水板孔数n、板间距h、水滴直径dW以及水的受热程度等有关。具体计算如下:

(1)选用淋水板间距h和水滴直径dW淋水板间距h一般为300~400mm。但蒸汽在由下向上流动时,水蒸汽逐渐凝缩为水,气体体积逐渐减小,淋水板间距可适当由下而上逐减30~50mm。冷却水进口第一层淋水板和出口第m层板以下的空间高度,应较一般板间距大200mm。

(2)确定冷却水受热程度 受热程度(θ)为水的实际受热程度与理论上最大受热程度之比,即

式中 T——冷凝器压力下的饱和水蒸汽温度(℃)

t1、t2——冷却水进出口温度(℃)

水蒸汽冷凝时θ与dW、h的关系,见表3-4-91。

表3-4-91 混合冷凝器中水的受热程度

(3)计算板数 选定板距h及水滴直径dW后,查出水的受热程度θ,然后可由θ求经过每块淋水板后的冷却水温度如下:

由前面受热程度公式得:

t1′=t1+θ(T-t1) (3-4-70)

t2′=t1′+θ(T-t1′) (3-4-71)

………………………

tm′=tm-1′+θ(T-t′m-1) (3-4-72)

式中 t1′、t2′……t′m为冷凝水经第1、2,……m块淋水板后的温度。当t′m等于或接近于冷却水出口水温t2时,即可算出淋水板数m块。有时实际板数须在计算数上再加10~30%的安全系数。

(4)计算高度 设实际板数为m块,上空间高度各为600mm,则冷凝器的总高Z近似为:

Z=(m-1)h+0.6+1.2,m (3-4-73)

下空间高度为蒸汽进口管径1.2倍。

4.气压管长度l 在正常大气压(1.0133×105Pa)下,根据静力平衡,气压管内水柱最小高度H0应为:

式中 b——冷凝器中真空度(mmHg)

气压管内应有一定的压头h0以克服管内阻力。若取水的进口阻力系数ξ1=0.5,出口阻力系数ξ2=1,则

式中 W——水在气压管中流速(m/s)

l——气压管长度(m)

d——气压管内径(m)

λ——管壁摩擦系数

g——重力加速度(m/s2)

为防止因大气压波动造成气压管内水倒灌的可能性,可将气压管长增加0.5m,其总长为:

l=Ho+ho+0.5,m (3-4-76)

实际上,一般取L为11m,可满足要求。

5.气压管直径do按下式计算:

式中 G——蒸汽量(kg/h)

W——冷却水量(kg/h)

Wo——水在气压管中流速(m/s),一般取1.0~2m/s。

6.气体和冷却水进口管径

(1)气体进冷凝器管径d按下式计算:

式中 G——进冷凝器蒸汽量,包括从脱气器进入量(kg/h)

W——蒸汽流速(m/s),一般取50m/s

v——蒸汽比容(m3/kg)

(2)冷却水进水管直径d按下式计算:

式中 W——冷却水量(m3/h)

W——冷却水流速(m/s),一般取1.5m/s

7.冷凝器直径与高度关系 可计算确定,一般如表3-4-92。

表3-4-92 混合冷凝器直径与膏度关系

混合冷凝器设计实例:某制盐厂的多效蒸发装置,末效蒸发水量为7500kg/h,由脱氧器蒸发水量为350kg/h,冷凝器内气体压强为1×104Pa。冷却水进水温度为30℃,出水温度为40℃,试设计一混合式冷凝器。

解:(1)冷凝器直径dn

取蒸汽流速W为50m/s,对应蒸汽比容为14.71m3/kg

(2)冷却水消耗量:

(3)弓形淋水板有关尺寸:

取W为0.62m/s,孔径为5mm,

取 n=945个

水室第一淋水板宽度为1.1××1000=733(毫米)

(4)冷凝器高度Z:

孔径5mm,若平均间距h=400,查得θ=0.104,则:

t′1=t1+θ(T-t1)

=30+0.104(45.3-30)=31.59(℃)

t′2=31.59+0.104(45.3-31.59)=33.01(℃)

t′3=33.01+0.104(45.3-33.01)=34.29(℃)

t′4=34.29+0.104(45.3-34.29)=35.43(℃)

t′5=35.43+0.104(45.3-35.43)=36.48(℃)

t′6=36.48+0.104(45.3-36.48)=37.40(℃)

t′7=37.40+0.104(45.3-36.48)=38.22(℃)

t′8=38.22+0.104(45.3-36.48)=38.96(℃)

t′9=38.96+0.104(45.3-38.96)=39.62(℃)

t′10=36·62+0.104(45.3-39.62)=40.21(℃)

出水温度为40℃,故可选用11块淋水板。

按设计 Z=(m-1)h+0.6+1.2d(m)

=(11-1)×0.4+0.6+1.05=5.65(m)

(5)气压管长度L,选用11m。

(6)气压管直径do

(7)蒸汽管进口管径(流速取80m/s)

(8)冷却水管径d

冷凝器计算结果如图3-4-77。

图3-4-77 冷凝器及淋水板主要尺寸

随便看

 

文网收录3541549条中英文词条,其功能与新华字典、现代汉语词典、牛津高阶英汉词典等各类中英文词典类似,基本涵盖了全部常用中英文字词句的读音、释义及用法,是语言学习和写作的有利工具。

 

Copyright © 2004-2024 Ctoth.com All Rights Reserved
京ICP备2021023879号 更新时间:2026/4/30 22:22:45