抽取批相关的数对(y1,t1),(y2,t2)…(yn,tn),并将每个数对作为一个坐标,在平面直角坐标系中描出相应的点(即散点图)。如果点子的趋势呈随t增加而y迅速增加的状态,可以认为是一条指数曲线:
y-aekt(或y=abt)
式中t为时间,a,k为常系数。然后对上式两边取自然对数,得:
1ny=1na+kt
作变换:Y=1ny,A=1na,B=k,T=t,便得到线性回归方程:
Y=A+BT
利用最小二乘法,解出
、
。再利用
,
解出
与
,就可得到预报用的指数曲线:

接着将t1,t2,…,tn代入,得到
的回报值:
并求出与实测数据的均方差:

s值越小越好。
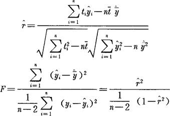
相关性检验,可以用相关系数检验或F检验法。计算公式是:

以上两公式中的数据,要使用变换后的数据,而不是实测数据。然后查相关系数检验表或F检验表(这里的第一自由度为1,第二自由度为n-2),判断其相关关系的显着程度。
诚然,在实际应用中往往需要选若干种类曲线来计算,然后比较他们的回报均方差S。一般来说,S值越小,对应的曲线方程预报更准确。确定了预报曲线方程后,就可将预测的t值逐一代入方程,计算出相应的
值即可。