网站首页  词典首页

请输入您要查询的字词:

 

字词 永固红F4R(永久红F4R,3149颜料永固红F4R)
类别 中英文字词句释义及详细解析
释义

永固红F4R(永久红F4R,3149颜料永固红F4R)


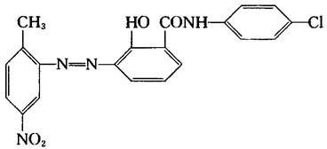
【结构式】:

【释文】:

制法 由2-甲基-5-硝基苯胺经重氮化后与色酚AS-E偶合而得。

性质 红色粉末。分子量460.88。细度(60目筛余物)≤6%。水分≤2.0%。水溶性盐含量≤1.5%。吸油量≤50±5%。耐热温度90℃。耐晒性5级,耐酸性5级,耐碱性4级,油渗性4级,水渗性5级,石蜡渗性5级。在浓硫酸中呈黄光大红色,稀释后呈大红色沉淀。在浓硝酸中为蓝光大红色。

国内生产厂

上海染化十二厂 天津油墨厂

国外生产厂

随便看

 

文网收录3541549条中英文词条,其功能与新华字典、现代汉语词典、牛津高阶英汉词典等各类中英文词典类似,基本涵盖了全部常用中英文字词句的读音、释义及用法,是语言学习和写作的有利工具。

 

Copyright © 2004-2024 Ctoth.com All Rights Reserved
京ICP备2021023879号 更新时间:2025/10/17 22:49:45