网站首页  词典首页

请输入您要查询的字词:

 

字词 畜粪尿
类别 中英文字词句释义及详细解析
释义

畜粪尿domestic animals manure

猪、牛、马、羊等牲畜的排泄物。含有丰富的有机质和作物需要的有机、无机营养物质,是优质有机肥料的主要来源。施用畜粪尿或由畜粪尿和垫圈材料等堆制而成的厩肥,有利于提高土壤肥力,增强土壤供肥后劲和农作产量、品质的提高。
性质成分
畜粪尿是由畜粪和畜尿所组成。畜粪是饲料经过消化后排出的固体废物,其中主要是未被消化的纤维素、半纤维素、木质素以及蛋白质、碳水化合物及其分解产物、脂肪、卵磷脂、核蛋白、肌醇磷酸酯、胆汁、有机酸、胞外酶和各种无机盐等;畜尿是饲料中的营养成分被消化吸收后,经新陈代谢后排出的液体废物,主要有尿素、尿酸、马尿酸、肌酐态氮,以及钾、钙、镁、钠、微量元素等无机盐。
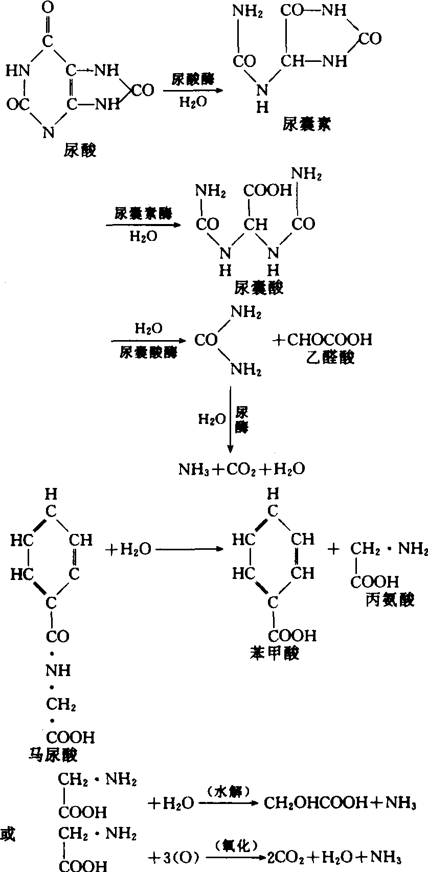
畜粪中的碳、氮化合物多数是迟效态的,须经微生物的分解才能被作物吸收利用(见厩肥),钾大部分是水溶性的;畜尿是良好的氮钾肥料,磷的含量少,呈碱性反应。其中尿酸和马尿酸分解慢,一般尿素分解时间如为2天,尿酸则需10天,而马尿酸在24天内仅能分解其全氮的33%,因此畜尿不宜直接施用。尿酸及马尿酸的分解过程为:


由于家畜种类、年龄、饲料性质及饲养方法的不同,畜粪尿的性质成分差异很大。
猪粪尿
猪的饲料多样,精饲料多,故猪粪尿的养分含量较高,粪质细,C/N比低,含氨化细菌多,猪尿中马尿酸含量较低,故猪粪尿容易分解腐熟,形成的腐殖质多,阳离子交换量大,粪质柔和,施入土壤后供肥后劲大。
牛粪尿
牛是食草的反刍动物,饲料经过反复咀嚼,使排出的粪质细密,再加牛饮水多,一般为饲料干物质的4倍,所以牛粪含水分多,含氮低,C/N比值大,通气性差,分解腐熟慢,发酵温度低,一般称为冷性肥料。
马粪尿
马粪尿所含的有机质及氮素比牛粪高,粗纤维数量多,疏松多孔,通气良好,所含高温分解菌多,而且马尿中尿素含量高,故马粪尿分解腐熟快,发热量大,发酵时温度高,常称为热性肥料。
羊粪尿
羊属反刍动物,对饲料咀嚼细,但羊饮水少,粪质细密干燥,尿中亦含尿素多,故羊粪尿易分解腐熟,养分含量高,也属热性肥料。
主要家畜粪尿的有机质、养分平均含量及腐殖质总量阳离子交换量列于表1、表2。
此外,家畜粪尿还包括骡、驴和兔粪尿。骡、驴粪尿与马粪尿基本相似。兔粪也是一种优质的畜粪,其氮、磷、钾养分含量比羊粪高,其氮含量为0.78%~1.58%,磷0.3%~1.47%,钾的含量为 0.21%~0.41%。但兔尿的氮、磷、钾含量都比较低。


表1 各种畜粪尿的有机质及平均养分含量(鲜重%)

家畜种类水分有机质矿物质
(N)

(P2O5)

(K2O)

(CaO)
猪 粪
尿
80.7
96.7
17.0
1.5
3.0
1.0
0.59
0.38
0.46
0.10
0.43
0.99
0.09
微量
牛 粪
尿
81.7
86.8
13.9
4.8
4.5
2.1
0.28
0.41
0.18
微量
0.18
1.47
0.41
0.01
马 粪
尿
76.5
89.6
21.0
8.0
3.9
8.0
0.47
1.29
0.30
0.01
0.30
1.39
0.17
0.45
羊 粪
尿
61.9
86.3
33.1
9.3
4.7
4.6
0.70
1.47
0.51
0.05
0.29
1.96
0.46
0.16


表2 畜粪的腐殖质总量及组成百分比(%)

家畜
种类
蜡质总腐殖质胡敏酸富啡酸阳离子代换量
(c mol/kg)



11.42
8.00
6.05
11.35
25.98
23.60
23.80
24.79
10.22
13.95
9.05
7.54
15.78
9.88
14.74
17.25
468~494
402~423
380~394
438~441

畜粪尿的营养作用,除为土壤和作物提供氮、磷、钾、钙、镁、硫、铁、锰、锌、硼、钼、铜、钠等无机营养和大量的有机质外,还能提供有机营养和各种酶。包括各种氨基酸、可溶性糖、核糖核酸、脱氧核糖核酸、各种酶类如转化酶、脱氢酶、脲酶、蛋白酶、磷酸酶及ATP酶,以及维生素等活性物质(见有机肥料)。
畜粪尿的积制

排泄量
畜粪尿的排泄量因家畜种类、年龄、体重、饲料和使役情况而有不同。一头家畜年积肥量以厩肥计算,牛为10~15吨,猪为5吨,马为10吨,羊为1.5~2吨。不同家畜的年平均排泄量列于表3。准确估计家畜的排泄量和养分含量是比较困难的,1977年德国有人提出一种按畜禽数量估算养分含量的动物肥料单位,即一个动物肥料单位为1头体重500千克的牛(或7头猪或者200只鸡)每年排泄的养分量。排泄量以牛最多,马次之,猪又次之,羊排泄量最少。

表3 家畜粪尿平均排泄量(鲜重)


粪尿
比例
每年排泄量(t)每吨粪尿中养分含量(kg)
尿总量NP2O5K2O



60∶40
70∶30
80∶20
67∶33
0.57
5.46
4.24
0.17
0.38
2.34
1.06
0.08
0.95
7.80
5.30
0.25
5.40
5.12
6.39
9.10
3.23
1.56
2.45
4.12
6.63
3.96
4.97
5.08

积制
各种新鲜家畜粪尿除用作改良粘重土壤或作冬季温床酿热材料外,一般须经堆积贮存,不宜直接施用。堆制成各种厩肥是合理利用畜粪尿的有效途径,通过褥草等垫圈材料与畜粪尿混合积制,既可吸收尿液,又可增加厩肥的养分含量。
保肥措施
畜粪尿在积制过程中既要促进分解,也要防止肥分损失。❶防止有机物的过度消耗。畜粪中的有机物质,如纤维素在好气细菌的作用下,可把纤维素分解成CO2、水,并释放出大量热,腐殖质积累少。而在嫌气性细菌分解下,可生成CO2、CH4和多量的腐殖质,因此畜粪尿在积存中,应将堆积物踏实、灌水、周围用泥封闭,以防止好气性细菌过度繁殖,消耗有机质;
❷防止氮的损失。一般在畜粪尿中加入少量的保氮物质,如过磷酸钙、石膏、硫酸亚铁,使易挥发的氨或铵盐转化形成较稳定的硫酸铵。也可加入少量的硫酸锰或锰矿渣,以抑制脲酶的活性,减少尿素分解,以防止氮的损失。
合理施用
畜粪尿积制的厩肥,宜作基肥,腐熟度高的也可作追肥和种肥。施用在肥力低的土壤上,增产幅度大;对冷浸田、阴坡地施用马、羊热性厩肥,可提高土温达到改良土壤和促进幼苗生长的效果;粘重土壤要浅施,施用量要大;砂性土壤通气透水性好,宜深施。作基肥时,可撒施,也可条施或沟施。畜粪尿应与化学肥料配合施用,方可充分发挥其肥料的效益。基肥每公顷用量22 500~37 500千克,追肥用量15 000千克左右。
畜粪尿

畜粪尿

农家肥料中的主要肥料。马、骡、驴的粪在堆沤过程中能发生高温,一般叫热性肥料。牛粪质地比较细致,不容易发酵,在堆沤过程中,因分解得慢,发出的热量小,一般叫凉性肥料,大都当作底粪使用。驴、骡、马粪含有机质丰富,能改善土壤性质,增加土壤保水、保肥、保温的能力。特别是在盐碱地上施用,可以减少水分蒸发,防止盐分上升,有利于盐碱地的改良。

☚ 人粪尿   堆肥 ☛
00004483
随便看

 

文网收录3541549条中英文词条,其功能与新华字典、现代汉语词典、牛津高阶英汉词典等各类中英文词典类似,基本涵盖了全部常用中英文字词句的读音、释义及用法,是语言学习和写作的有利工具。

 

Copyright © 2004-2024 Ctoth.com All Rights Reserved
京ICP备2021023879号 更新时间:2026/4/27 21:39:35