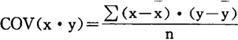
协方差
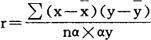
【释文】: 也叫共差,它是两个定距变量或两个定比变量的各个指标值各减去其总体平均数后的乘积的总和,再除以总体个案数所得的商,其计算公式如下:  式中符号COV(x·y)表示两个变量x与y的协方差;x与y分别表示两个定距变量或两个定比变量的各个指标值;x与y分别表示这两个变量的总体平均数;n表示总体个案数;∑为连加符号。 协方差可用来分析两个定距变量或两个定比变量的相关程度。在平面直角坐标系中,各个散点的位置是由总体中的各个案所对应的指标值,即(x,y)所确定的。而两个变量的平均数即 与y将所有个案划分为四个象限,其中各个案所对应的指标值,即各个散点所代表的(x,y),它们同总体平均数的距离差之积 )在Ⅰ、Ⅲ象限均为正值,在Ⅱ、Ⅳ象限均为负值。同时我们根据协方差的基本公式计算和几何图解看到:协方差的绝对值越大,两变量的相关程度越高;协方差的绝对值越小,两变量的相关程度越低;而协方差为零时,则两变量不相关;协方差为正值时,两变量为正相关;协方差为负值时,两变量为负相关。 协方差可用来分析两个社会变量之间的相关情况。这就是我们通常所说的积差相关方法,然而,由于协方差的数值具有绝对数的性质,即 与 都有各自的单位,而单位不同,则无法直接利用协方差所表示的相关程度进行比较。 因此需要清除 和与 各自的单位。消除的方法通常是利用x和y两变量的标准差,即将协方差除以x变量和y变量的标准差,从而使其成为不带任何单位的标准协方差,这样就可进行不同相关程度之间的比较了。这种标准协方差的计算公式为:  式中r为标准协方差,即人们通常所说的相关系数,αx、αy则分别为x、y两变量的标准差,其它符号与协方差计算公式中的符号含义相同。 |