网站首页  词典首页

请输入您要查询的字词:

 

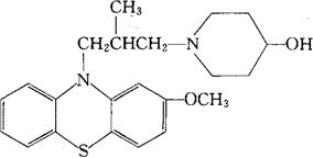
字词 哌美他嗪
类别 中英文字词句释义及详细解析
释义 哌美他嗪

C22H28N2O2S=384.54

CAS-13093-88-4

1-[3-(2-甲氧-10-吩噻嗪基)-2-甲基丙基]-4-哌啶醇。

1-[3-(2-Methoxy-10-phenothiazinyl)-2-methylpropyl]-4-piperidinol.

催眠镇静药。

羟哌丁嗪。

Leptryl,Perimetazine,Perimethazine.

INN,DCF,DCIT,NFN,USAN,MI.

随便看

 

文网收录3541549条中英文词条,其功能与新华字典、现代汉语词典、牛津高阶英汉词典等各类中英文词典类似,基本涵盖了全部常用中英文字词句的读音、释义及用法,是语言学习和写作的有利工具。

 

Copyright © 2004-2024 Ctoth.com All Rights Reserved
京ICP备2021023879号 更新时间:2025/10/17 20:26:40