投入产出价格分析
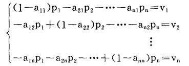
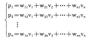
利用结构矩阵A,国民经济各部门生产与最终需求之间的平衡,可表示为矩阵方程 (I-A)x=y 其中I是恒同矩阵,x是各部门的产出向量,y是最终需求向量。 每个生产部门所接受的价格,必须等于它为每单位产出而从各部门购入的投入量的支付,加上每单位产出的增值。因此,价格平衡方程是  写成矩阵形式就是(I-AT)p=v, 其中AT是结构矩阵A的转置矩阵,p是价格向量,v是包含工资、利息、利润、赋税等的增值向量。方程的解是 p=WTv 其中WT是矩阵I-A的逆矩阵W=(I-A)-1的转置矩阵。详细写下来,就是  所以,对预定的各部门每单位产出的增值v1,v2,…,vn,就可以算出每种产品的价格p1,p2,…,pn。 |