氧化铝的测定计算
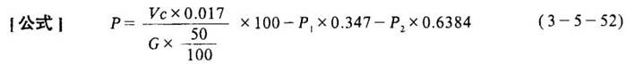
[测定方法]用移液管吸取测定水不溶物(见下)时所保留的溶液50mL于250mL锥形瓶中,加入3滴3%过氧化氢溶液,用蒸馏水稀释至100mL。加热至沸腾后,加入10mL10%氯化钡溶液,继续煮沸片刻,以酚酞为指示剂,立即将该热的混合液用0.5mol/L氢氧化钠标准溶液滴定至呈微红色时已接近终点,再逐滴加3~4滴至呈红色为止。  式中 P——三氧化二铝(%) c、V——氢氧化钠标准溶液的浓度(mol/L)及滴定所耗体积(mL) G——试样重(g) 0.017——与1mL1mol氢氧化钠标准溶液相当的氧化铝量(g) 0.347、0.6386——分别为将硫酸换算为氧化铝、将三氧化二铁换算为氧化铝的系数 P1、P2含义同上 |