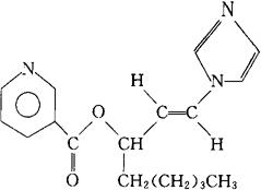
烟格雷酯
C17H21N3O2=299.37 CAS-80614-21-7 (±)-(E)-3-咪唑-1-基-1-戊基烯丙基烟酸酯。 ±± (±)-(E)-3-Imidazol-1-yl-1-pentylallyl nicotinate. 1-[2-(1H-咪唑-1-基)乙烯基]己基3-吡啶羧酸酯。 1-[2-(1H-Imidazol-1-yl)ethenyl]hexyl 3-pyridinecarboxylate, 抗凝药,抗血栓形成药。 尼可来酯。 Nicogrelate,CBS-634. INN,USAN.  |