网站首页  词典首页

请输入您要查询的字词:

 

字词 确定年金
类别 中英文字词句释义及详细解析
释义 确定年金

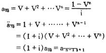
在订立年金合同时就已经确定了年金给付期间的一种年金。如果年金受领人于约定时期内死亡,年金受领人的受益人仍可继续领取年金直到约定时期结束时为止。确定年金的各期给付额折算为年金开始时的价值为确定年金的现值。通常以代表利率为i,给付期为n年的期末付确定年金现值,而以表示利率为i,给付期为n年的期初付确定年金现值。公式如下:

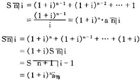
确定年金在领取期结束时所有领取金的累计价值称为确定年金的终值。通常代表利率为i,领取期为n年的期末付款的确定年金终值,而以代表期初付款的确定年金终值。公式如下:

随便看

 

文网收录3541549条中英文词条,其功能与新华字典、现代汉语词典、牛津高阶英汉词典等各类中英文词典类似,基本涵盖了全部常用中英文字词句的读音、释义及用法,是语言学习和写作的有利工具。

 

Copyright © 2004-2024 Ctoth.com All Rights Reserved
京ICP备2021023879号 更新时间:2025/11/30 23:59:11