网站首页  词典首页

请输入您要查询的字词:

 

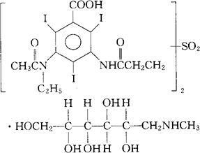
字词 碘磺拉葡胺
类别 中英文字词句释义及详细解析
释义 碘磺拉葡胺

C28H28I6N4O10S·C7H17NO5=1569.25

CAS-63534-64-5

CAS-23205-04-1(iossulamide)

CAS-6284-40-8(meglumine)

3,3′-[磺酰双[(1-氧代-3,1-丙二基)亚氨基]]双[5-(乙酰乙氨基)-2,4,6-三碘苯甲酸]与1-去氧-1-(甲氨基)-D山梨醇(1∶1)的化合物。

3,3′-[Sulfonylbis[(1-oxo-3,1-propanediyl)imino]]bis[5-(acetylethylamino)-2,4,6-triiodobenzoic acid]compound with 1-deoxy-1-(methylamino)-D-glucitol(1∶1).

3,3′-[磺酰双(乙烯羰基亚氨基)]双[5-(N-乙基乙酰氨基)-2,4,6-三碘苯甲酸]与1-去氧-1(甲氨基)-D-山梨醇(1∶1)的化合物。

3,3′-[Sulfonylbis(ethylenecarbonylimino)]bis[5-(N-ethylacetamino)-2,4,6-triiodobenzoic acid]compound with 1-deoxy-1-(methylamino)-D-glucitol(1∶1).

诊断用药(造影药)。

碘磺拉胺葡胺。

Iosulamide Meglumine,Win 31122.

INN(Iosulamide),USAN.

随便看

 

文网收录3541549条中英文词条,其功能与新华字典、现代汉语词典、牛津高阶英汉词典等各类中英文词典类似,基本涵盖了全部常用中英文字词句的读音、释义及用法,是语言学习和写作的有利工具。

 

Copyright © 2004-2024 Ctoth.com All Rights Reserved
京ICP备2021023879号 更新时间:2025/10/18 20:15:19