网站首页  词典首页

请输入您要查询的字词:

 

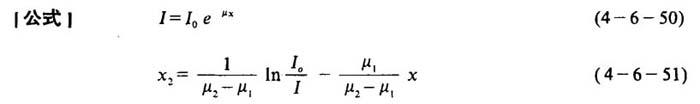
字词 纸页灰分自动测量仪的检测计算
类别 中英文字词句释义及详细解析
释义 纸页灰分自动测量仪的检测计算

[说明]连续测量纸机上纸页的灰分,可以得到符合印刷特性要求的纸页,并且可以最大限度地利用填料以降低纸页的成本。测量原理是利用惰性填料(高岭土或二氧化钛)来大量吸收穿过纸页的χ(伦琴)射线。

式中 I0——χ射线源强度

I——通过纸页后χ射线的强度

μ——χ射线在纸页中的吸收系数,见表2-6-2

χ——纸页的定量

χ2——纸页的灰分含量

μ1——纸浆中纤维对χ射线的吸收系数

μ2——灰分对χ射线的吸收系数

表4-6-2 各种成分的吸收系数(m2/g)

随便看

 

文网收录3541549条中英文词条,其功能与新华字典、现代汉语词典、牛津高阶英汉词典等各类中英文词典类似,基本涵盖了全部常用中英文字词句的读音、释义及用法,是语言学习和写作的有利工具。

 

Copyright © 2004-2024 Ctoth.com All Rights Reserved
京ICP备2021023879号 更新时间:2026/4/17 23:22:39