网站首页  词典首页

请输入您要查询的字词:

 

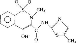
字词 美洛昔康
类别 中英文字词句释义及详细解析
释义 美洛昔康

C14H13N3O4S2=351.39

CAS-71125-38-7

4-羟-2-甲基-N-(5-甲基-2-噻唑基)-2H-1,2-苯并噻嗪-3-甲酰胺1,1-二氧化物。

4-Hydroxy-2-methyl-N-(5-methyl-2-thiazolyl)-2H1,2-benzothiazine-3-carboxamide 1,1-dioxide.

消炎镇痛药。

Meloxicam,UHAC 62.

INN,USAN.

随便看

 

文网收录3541549条中英文词条,其功能与新华字典、现代汉语词典、牛津高阶英汉词典等各类中英文词典类似,基本涵盖了全部常用中英文字词句的读音、释义及用法,是语言学习和写作的有利工具。

 

Copyright © 2004-2024 Ctoth.com All Rights Reserved
京ICP备2021023879号 更新时间:2025/10/17 23:54:11