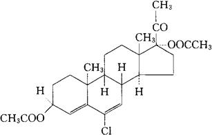
醋酸氯孕酮
C25H33ClO5=448.99 CAS-3044-32-4 CAS-20047-75-0(clogestone) (3β)-3,17-双(乙酰氧)-6-氯-孕甾-4,6-二烯-20-酮。 3,17-bis(Acetyloxy)-6-chloro-pregna-4,6-diene-20-one,(3β)-. 6-氯-3β,17-二羟孕甾-4,6-二烯-20-酮二醋酸酯。 6-Chloro-3β,17-dihydroxypregna-4,6-dien-20-onediacetate. 孕激素类药。 醋酸氯底雌酮。 Clogestone Acetate,AY-11,440. INN & BAN(Clogestone),USAN. 
|