网站首页  词典首页

请输入您要查询的字词:

 

字词 商标纸与条包纸
类别 中英文字词句释义及详细解析
释义

商标纸与条包纸


商标纸(俗称盒皮),用于卷烟小包包装外层包装用纸,纸的品种主要有:胶版纸、铜版纸、铸涂纸和白卡纸等。其性能要求是:纸质细致牢固,彩印着墨率好,包装时褶角柔软不破裂,彩印不脱墨能保持小包外形的整洁美观。

(一)铜版纸

1.铜版纸的基本概念

铜版纸属涂布加工类纸,由涂布原纸经涂布白色涂料和整饰加工制成的高级美术印刷纸。铜版纸有单面铜版纸、双面铜版纸、低定量铜版纸、无光泽铜版纸、压纹铜版纸之分。单面铜版纸是在涂布原纸的一面涂上涂料而得,双面铜版纸则是在原纸的两面分别涂上涂料而制得。单、双面铜版纸按其质量分为A、B、C三等,纸张为平板式,尺寸为880mm×1230mm或787mm×1092mm。

2.铜版纸的技术要求

纸质应均匀紧密,纸面光滑,涂层牢固一致。厚薄均匀,伸缩性小,强度较高,抗水性好。纸面不允许有褶子、破损、斑痕、鼓泡、硬质块及明显的条痕等外观纸病。每批纸张的色调不许有明显的差别。印刷后要求纸张平坦、图案清楚、色泽鲜艳。

其技术指标见表5-4-4。

表5-4-4 单、双面铜版纸的技术指标

3.铜版纸的包装、运输和贮存

(1)铜版纸按照GB10342木夹板包装的规定进行包装,或按订货合同的规定进行。

(2)纸张应妥善保管于通风仓库的垫板上,以防受雨、雪或地面湿气的影响。

(3)运输时应使用有篷而洁净的运输工具。装卸时不许钩吊打包铁皮,不许将纸件从高处扔下。

(二)胶版纸

1.胶版纸的基本概念

胶版纸是用漂白化学木浆、竹浆、破布浆和草浆抄制而成。分单面和双面两种,每种分A、B、C三个等级。A级和B级胶版纸用于较高级的彩色印刷,C级胶版纸用于普通彩色印刷。胶版纸的组织均匀、纸质洁白、伸缩性小、纸面光滑、经多色套版印刷可得线条清晰的图案。定量在40~50g/m2的单面胶版纸常用于卷烟用的封签纸。

2.胶版纸的技术要求

胶版纸要求纸质洁白、组织均匀、伸缩性小、表面光滑、平整,不许有褶子、皱纹、残缺、破洞、透光点、裂口、各种斑点、沙子、硬质块、明显毛布痕、鱼鳞斑及借透射光可见的孔眼。每批纸色泽应一致,不应有明显差别。卷筒纸应复卷整齐,端面里出外进不许超过3mm,每卷断头不许超过4个,但A等不超过2个,接头处用不渗透胶水或胶带纸粘牢,拉头宽度不得超过15mm,接头处应用有色纸条作标志。其技术指标见表5-4-5、表5-4-6。

表5-4-5 单面胶版纸技术指标

注:*参考指标暂不作为合作品判定依据,但必须测定。

表5-4-6 双面胶版纸技术指标

注:*推荐性指标。

3.胶版纸的包装、运输、贮存

(1)胶版纸的包装按GB10342的规定进行。每件平板纸的纵横向应一致,并在包装的外皮和外包装上划上箭头指示纸张的纵向。

(2)运输时必须用防雨、防潮、洁净的运输工具,并不许和油、肉、酸、碱及易燃物品等混放。

(3)搬运时不许将纸件(卷)从高处扔下或就地翻滚移动。

(4)成品的保管要严防雨、雪和地面潮湿的影响,并严禁大型物品挤压。

(三)白卡纸

1.白卡纸的基本概念

白卡纸采用100%漂白硫酸盐木浆为原料,经过游离状打浆,较高程度地施胶(施胶度为1.0~1.5mm),加入滑石粉、硫酸钡等白色填料,在长网造纸机上抄造并经压光或压纹处理而成。

白卡纸是一种较厚实、坚挺的白色卡纸,其等级分为A、B、C三个等级,多种规格。白卡纸为平板纸,尺寸有787mm×1092mm,880mm×1230mm两种规格,尺寸的误差不许超过±3mm,偏斜度不许超过3mm。

2.白卡纸的技术要求

白卡纸要求纸张纤维组织均匀,纸面平整、洁净,不许有褶子、皱纹、扭筋、残缺、破洞、条痕、裂口、斑点、沙子、硬质块、孔眼等纸病。每批纸张的色泽应一致,不许有明显差别。其技术指标见表5-4-7。

表5-4-7 白卡纸的技术要求

3.白卡纸的包装、运输和贮存

(1)白卡纸的包装按GB10342的规定进行包装。

(2)运输时应使用有篷而洁净的运输工具。

(3)不许将纸件从高处扔下。

(4)纸张应妥善保管,以防止雨、雪和地面湿气的影响。

(四)铸涂纸和铸涂白纸板

1.铸涂纸和铸涂白纸板的基本概念

铸涂纸是以不同定量的纸或卡纸为原纸,经铸涂加工而成的,铸涂白纸板是以白纸板为原料铸涂加工的纸板。这两种纸都具有极高的光泽度和平滑度,适用于最细网线的印刷。这种纸对网点和色调的再现性强,印刷光泽度好,图像清晰,吸墨均匀迅速,不易掉粉,并适用于凸板、胶版、凹版等印刷方式,烫金效果也较好,卷烟行业主要用于高档卷烟的小盒硬包装和条盒包装。

2.铸涂纸和铸涂白纸板的技术要求

铸涂纸和铸涂白纸板要求纸面平整、洁净、纸的切边应整齐洁净,不许有褶子、破损、斑点和明显条痕及影响使用的涂层麻坑等纸病。每批纸的色调应一致,不许有明显差别。其技术指标见表5-4-8,表5-4-9。

表5-4-8 铸涂纸的技术指标

注:因国内尚待解决印刷表面强度和油墨吸收性的测定仪器和器材,对B、C等级的产品这两项技术指标暂缓执行。

表5-4-9 铸涂白板纸的技术指标

注:因国内尚待解决印刷表面强度和油墨吸收性的测定仪器和器材,对B、C等级产品这两项技术指标暂缓执行。

3.铸涂纸和铸涂白纸板的包装、运输和贮存

(1)铸涂纸和铸涂白纸板的包装按GB10342的规定进行。

(2)运输时应使用有篷而洁净的运输工具,搬运时,不许将纸件从高处扔下。

(3)产品应妥善保管,以防雨、雪和地面潮湿的影响。

(五)纸重和面积的换算

纸的基本计量单位,对手工纸为刀和担;机制纸为令、件和吨。各种大小尺寸的手工纸,1刀为100张;1担纸为50kg。机制纸的令是英文Ream的译音,1令纸等于整裁平板纸500张。有的国家1令纸有480张和500张两种,英国规定1令印刷纸和书写纸为1000张。

销售时纸以重量为单位,但使用时却以面积来计算。因此必须加以换算。

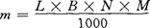
1.平板纸令重和定量的换算

式中 m——令重,即1令纸张的总质量,kg;

L——纸的长度,m;

B——纸的宽度,m;

M——纸的定量,g/m2

N——每令纸的张数,每令纸为500张时,算式可改写为m=0.5LBM。

表5-4-10所列为几种规格纸的简化换算公式,实用上是有足够精度的。如果每令纸不是500张的话需按换算公式进行计算。

表5-4-10 纸的定量和令重的换算公式(1令=500张)

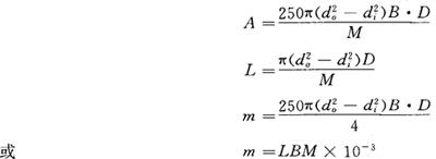
2.卷筒纸的计算

卷筒纸的纸卷总重m、卷筒纸的总面积A、纸的长度L等可如下计算(略去纸卷中间的空隙)。

式中 m——纸卷总质量,kg;

A——卷筒纸的总面积,m2

L——卷筒纸的总长度,m;

B——卷筒纸纸宽,m;

D——紧度,kg/m3

M——定量,g/m2

do——卷筒纸的外直径,m;

di——卷筒纸纸芯外直径,m。

随便看

 

文网收录3541549条中英文词条,其功能与新华字典、现代汉语词典、牛津高阶英汉词典等各类中英文词典类似,基本涵盖了全部常用中英文字词句的读音、释义及用法,是语言学习和写作的有利工具。

 

Copyright © 2004-2024 Ctoth.com All Rights Reserved
京ICP备2021023879号 更新时间:2026/3/23 20:34:24