【别名】 A字湖兰。
【国外相应商品名】
Acid Brilliant Blue AF(Acna)
Lissamine Turquoise AN(ICI)
Xylene Blue AS(S)
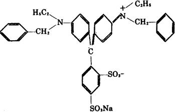
【结构式】

【产品质量标准】 企业标准(天津染化二厂)。
外观: 蓝色均匀粉末
色光: 与标准品近似
强度: 为标准品100±3
在羊毛织物上的染色坚牢度: 符合标准品
不溶于水的杂质含量: ≤1%
水分含量: ≤5%
细度(通过60目筛残余物含量): ≤5%
【功能与特点】 易溶于冷水和热水(呈蓝色),溶于酒精(也呈蓝色)。遇浓硫酸呈橄榄色,将其稀释后呈黄色。它的水溶液加氢氧化钠在沸腾时由蓝转变为紫色。染色时遇铜、铁离子色泽变绿暗。
【用途和用法】 可用于皮革染色。
【使用注意事项】 贮存于阴凉干燥处,避免日晒,防止受热受潮。
【主要生产厂家】 天津染化三厂。