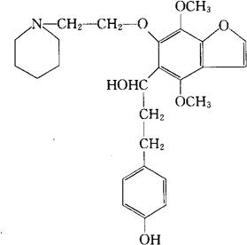
哌丙呋罗
C26H33NO6=455.55 CAS-40680-87-3 α-(对-羟苯乙基)-4,7-二甲氧-6-(2-哌啶乙氧)-5-苯并呋喃甲醇。 α-(p-Hydroxyphenethyl)-4,7-dimethoxy-6-(2-piperidineethoxy)-5-benzofuranmethanol. 4,7-二甲氧-α-(2,4-羟苯乙基)-6-[2-(1-哌啶基)乙氧]-5-苯并呋喃甲醇。 4,7-Dimethoxy-α-(2,4-hydroxyphenylethyl)-6-[2-(1-piperidinyl)ethoxy]-5-benzofuranmethanol. 解痉药,抗高血压,冠脉扩张药。 Piprofurol,MD 710247. INN,USAN. 
|