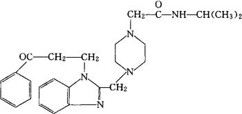
尼哌拉唑
C26H33N5O2=447.58 CAS-60662-19-3 4-[[1-(2-苯甲酰乙基)-2-苯并咪唑基]甲基]-N-异丙基-1-哌嗪乙酰胺。 4-[[1-(2-Benzoylethyl)-2-benzimidazoyl]methyl]-N-isopropyl-1-piperazineacetamide. N-(1-甲基乙基)-4-[[1-(3-氧代-苯丙基)-1H-苯并唑唑-2-基]甲基]-1-哌嗪乙酰胺。 N-(1-Methylethyl)-4-[[1-(3-oxo-3-phenyl propyl)-1H-benzimidazol-2-yl]methyl]-1-piperazineacetamide. 抗溃疡病药。 Nilprazole,MD 73442. INN,BAN,USAN. 
|