标准差
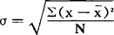
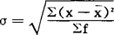
又称均方差。 指各变量值与算术平均数相减之差的平方,除以总体单位数后的算术平方根。它是在单纯随机抽样调查中反映所抽样本集中程度的指标。 其计算公式为:  上式在原始资料未经分组整理的情况下运用。  上式在统计资料已经编成变量数列的情况下运用。 式中:σ表示标准差;x表示标志值; 表示算术平均数;N表示总体单位数;∑表示总和符号;f表示次数。 举例说明如下,见表1: 表1 某车间生产班组日产件数标准差的计算   根据变量数列来计算标准差则以各组的次数作权数,举例说明如下,见表2: 表2 某月某企业职工工资标准差的计算   标准差的计量单位与标志值相同。 标准差反映数列中所有各单位标志值对平均数离差的程度。标准差的值愈小,表明样本之间的集中程度愈高;反之,则表明样本之间的分散程度愈高。 |