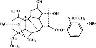
氢溴酸高乌甲素[中]
C32H44N2O8·HBr=665.61 CAS-32854-75-4(lappaconitine) (1α,14α,16β)-20乙基-1,14,16-三甲氧基-乌头烷-4,8,9-三醇-4-[2-(乙酰氨基)苯甲酸酯]氢溴酸盐。 (1α,14α,16β)-20-Ethyl-1,14,16-trimethoxy-aconitane-4,8,9-triol-4-2-(acetylamino)benzoate hydrobromide. 镇痛药。对恶性肿瘤疼痛及其它顽固性疼痛的疗效尤为显著。 氢溴酸拉巴乌头碱。 Lappaconitine Hydrobromide. 氢溴酸高乌甲素片,氢溴酸高乌甲素注射液。 MI. 
|